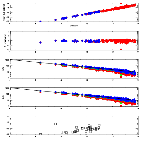
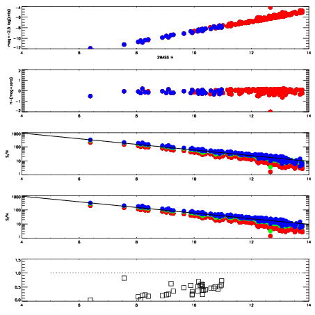
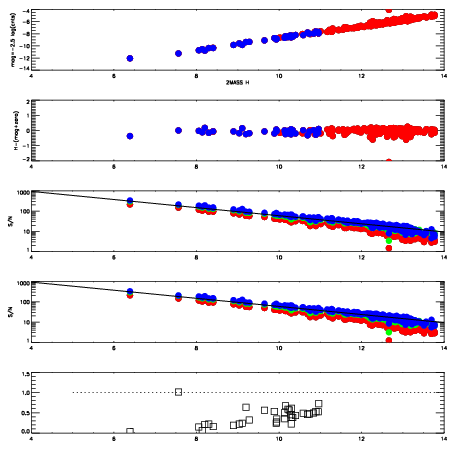
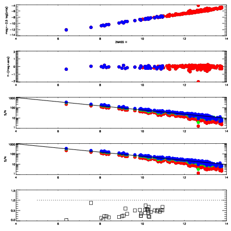
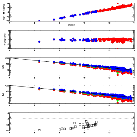
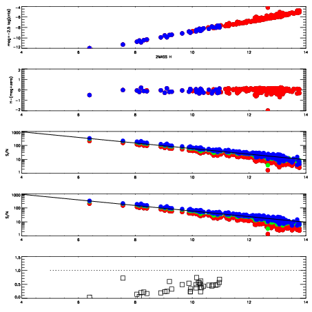
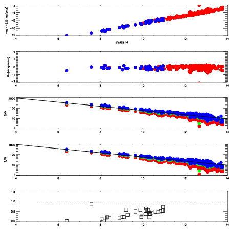
| Frame | Nreads | Zeropoints | Mag plots
| Spatial mag deviation
| Spatial sky 16325A emission deviations (filled: sky, open: star)
| Spatial sky continuum emission
| Spatial sky telluric CO2 absorption deviations (filled: H < 10)
|
| 7850059
| 47
| | Red | Green | Blue
| | z | | 18.83
| | znorm | | 14.65
| | sky | 15.5 | 14.7 | 14.4
| | S/N | 15.0 | 24.6 | 26.3
| | S/N(c) | 13.4 | 23.7 | 26.0
| | SN(E/C) | 0.42
|
|
|
|
|
|
|
| 7850060
| 47
| | Red | Green | Blue
| | z | | 18.83
| | znorm | | 14.65
| | sky | 15.5 | 14.7 | 14.6
| | S/N | 14.7 | 24.8 | 26.9
| | S/N(c) | 13.0 | 23.9 | 26.9
| | SN(E/C) | 0.44
|
|
|
|
|
|
|
| 7850061
| 47
| | Red | Green | Blue
| | z | | 18.84
| | znorm | | 14.66
| | sky | 15.5 | 14.9 | 14.8
| | S/N | 15.0 | 24.9 | 27.2
| | S/N(c) | 13.6 | 23.9 | 27.0
| | SN(E/C) | 0.43
|
|
|
|
|
|
|
| 7850062
| 47
| | Red | Green | Blue
| | z | | 18.81
| | znorm | | 14.63
| | sky | 15.0 | 15.1 | 14.8
| | S/N | 14.6 | 24.7 | 26.6
| | S/N(c) | 13.2 | 23.7 | 26.3
| | SN(E/C) | 0.40
|
|
|
|
|
|
|
| 7850063
| 47
| | Red | Green | Blue
| | z | | 18.73
| | znorm | | 14.55
| | sky | 15.2 | 15.1 | 14.8
| | S/N | 13.4 | 23.4 | 25.0
| | S/N(c) | 11.8 | 22.3 | 24.9
| | SN(E/C) | 0.42
|
|
|
|
|
|
|
| 7850064
| 47
| | Red | Green | Blue
| | z | | 18.83
| | znorm | | 14.65
| | sky | 15.2 | 15.1 | 15.1
| | S/N | 14.9 | 25.0 | 27.2
| | S/N(c) | 13.3 | 24.0 | 26.7
| | SN(E/C) | 0.42
|
|
|
|
|
|
|
| 7850065
| 47
| | Red | Green | Blue
| | z | | 18.81
| | znorm | | 14.63
| | sky | 15.3 | 15.2 | 15.0
| | S/N | 14.5 | 24.5 | 26.9
| | S/N(c) | 13.0 | 23.7 | 26.3
| | SN(E/C) | 0.43
|
|
|
|
|
|
|
| 7850066
| 47
| | Red | Green | Blue
| | z | | 18.80
| | znorm | | 14.62
| | sky | 15.7 | 15.0 | 15.0
| | S/N | 14.3 | 24.7 | 26.6
| | S/N(c) | 12.9 | 23.8 | 26.2
| | SN(E/C) | 0.43
|
|
|
|
|
|
|