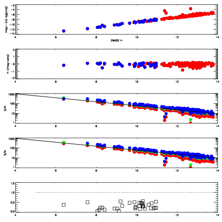
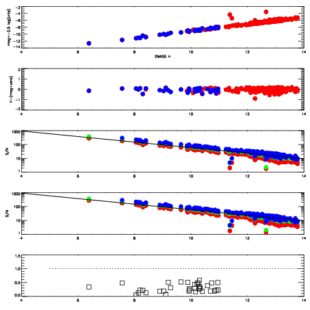
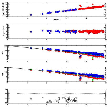
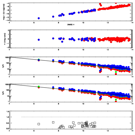
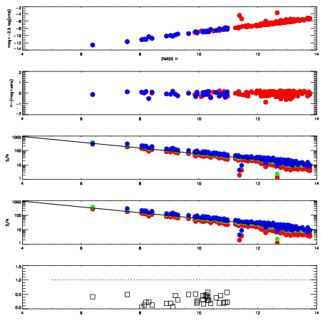
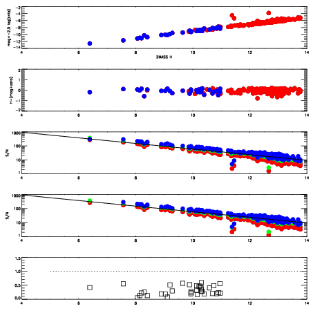
| Frame | Nreads | Zeropoints | Mag plots
| Spatial mag deviation
| Spatial sky 16325A emission deviations (filled: sky, open: star)
| Spatial sky continuum emission
| Spatial sky telluric CO2 absorption deviations (filled: H < 10)
|
| 7540085
| 47
| | Red | Green | Blue
| | z | | 19.10
| | znorm | | 14.91
| | sky | 14.9 | 14.2 | 14.2
| | S/N | 16.6 | 25.2 | 32.5
| | S/N(c) | 14.5 | 24.0 | 30.7
| | SN(E/C) | 0.28
|
|
|
|
|
|
|
| 7540086
| 47
| | Red | Green | Blue
| | z | | 19.11
| | znorm | | 14.93
| | sky | 15.0 | 14.2 | 14.4
| | S/N | 16.9 | 25.2 | 32.8
| | S/N(c) | 14.8 | 23.9 | 30.7
| | SN(E/C) | 0.29
|
|
|
|
|
|
|
| 7540087
| 47
| | Red | Green | Blue
| | z | | 19.13
| | znorm | | 14.95
| | sky | 14.7 | 14.3 | 14.5
| | S/N | 17.0 | 25.6 | 33.1
| | S/N(c) | 14.9 | 24.0 | 30.8
| | SN(E/C) | 0.28
|
|
|
|
|
|
|
| 7540088
| 47
| | Red | Green | Blue
| | z | | 19.17
| | znorm | | 14.99
| | sky | 15.0 | 14.3 | 14.5
| | S/N | 17.6 | 26.2 | 33.3
| | S/N(c) | 15.2 | 24.5 | 31.1
| | SN(E/C) | 0.28
|
|
|
|
|
|
|
| 7540089
| 47
| | Red | Green | Blue
| | z | | 19.16
| | znorm | | 14.98
| | sky | 14.7 | 14.4 | 14.4
| | S/N | 17.2 | 26.4 | 32.7
| | S/N(c) | 15.0 | 24.5 | 30.5
| | SN(E/C) | 0.29
|
|
|
|
|
|
|
| 7540090
| 47
| | Red | Green | Blue
| | z | | 19.13
| | znorm | | 14.95
| | sky | 14.8 | 14.3 | 14.3
| | S/N | 17.2 | 25.8 | 31.9
| | S/N(c) | 15.0 | 23.9 | 29.7
| | SN(E/C) | 0.29
|
|
|
|
|
|
|
| 7540091
| 47
| | Red | Green | Blue
| | z | | 19.11
| | znorm | | 14.93
| | sky | 14.7 | 14.4 | 14.4
| | S/N | 16.9 | 25.6 | 31.8
| | S/N(c) | 14.7 | 23.8 | 30.0
| | SN(E/C) | 0.29
|
|
|
|
|
|
|
| 7540092
| 47
| | Red | Green | Blue
| | z | | 19.16
| | znorm | | 14.98
| | sky | 14.9 | 14.4 | 14.4
| | S/N | 17.1 | 26.4 | 32.0
| | S/N(c) | 14.9 | 24.5 | 29.9
| | SN(E/C) | 0.28
|
|
|
|
|
|
|