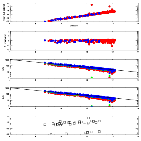
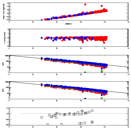
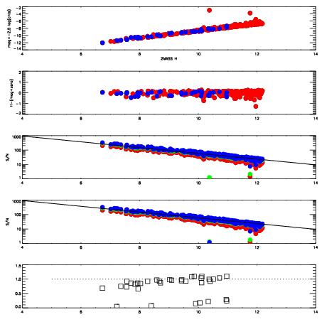
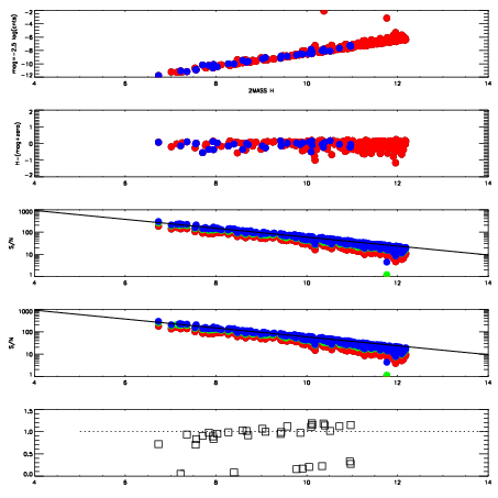
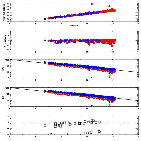
| Frame | Nreads | Zeropoints | Mag plots
| Spatial mag deviation
| Spatial sky 16325A emission deviations (filled: sky, open: star)
| Spatial sky continuum emission
| Spatial sky telluric CO2 absorption deviations (filled: H < 10)
|
| 6720021
| 47
| | Red | Green | Blue
| | z | | 18.70
| | znorm | | 14.52
| | sky | 14.4 | 14.3 | 14.4
| | S/N | 12.3 | 19.9 | 21.9
| | S/N(c) | 10.8 | 18.2 | 20.5
| | SN(E/C) | 0.92
|
|
|
|
|
|
|
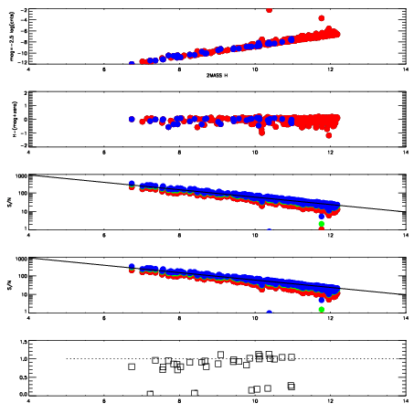
| 6720022
| 47
| | Red | Green | Blue
| | z | | 18.28
| | znorm | | 14.10
| | sky | 14.2 | 14.1 | 14.3
| | S/N | 8.8 | 14.6 | 17.5
| | S/N(c) | 7.6 | 13.4 | 15.9
| | SN(E/C) | 0.94
|
|
|
|
|
|
|
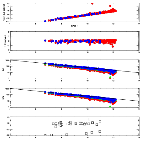
| 6720023
| 47
| | Red | Green | Blue
| | z | | 18.57
| | znorm | | 14.39
| | sky | 14.3 | 14.1 | 14.5
| | S/N | 11.1 | 18.4 | 20.2
| | S/N(c) | 9.8 | 16.8 | 18.7
| | SN(E/C) | 0.92
|
|
|
|
|
|
|
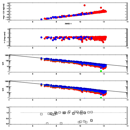
| 6720024
| 47
| | Red | Green | Blue
| | z | | 18.89
| | znorm | | 14.71
| | sky | 14.3 | 14.3 | 14.5
| | S/N | 13.7 | 22.6 | 23.8
| | S/N(c) | 12.2 | 20.4 | 22.0
| | SN(E/C) | 0.89
|
|
|
|
|
|
|
| 6720025
| 47
| | Red | Green | Blue
| | z | | 18.19
| | znorm | | 14.01
| | sky | 14.1 | 14.1 | 14.4
| | S/N | 8.4 | 14.8 | 16.5
| | S/N(c) | 7.4 | 13.4 | 14.9
| | SN(E/C) | 0.94
|
|
|
|
|
|
|
| 6720026
| 47
| | Red | Green | Blue
| | z | | 18.71
| | znorm | | 14.53
| | sky | 14.3 | 14.2 | 14.5
| | S/N | 12.9 | 20.3 | 21.9
| | S/N(c) | 11.0 | 18.4 | 20.0
| | SN(E/C) | 0.90
|
|
|
|
|
|
|
| 6720027
| 47
| | Red | Green | Blue
| | z | | 18.73
| | znorm | | 14.55
| | sky | 14.3 | 14.3 | 14.5
| | S/N | 12.6 | 20.6 | 22.1
| | S/N(c) | 11.1 | 18.9 | 20.2
| | SN(E/C) | 0.93
|
|
|
|
|
|
|
| 6720028
| 47
| | Red | Green | Blue
| | z | | 18.43
| | znorm | | 14.25
| | sky | 14.1 | 14.1 | 14.3
| | S/N | 9.8 | 17.1 | 18.6
| | S/N(c) | 8.7 | 15.6 | 16.9
| | SN(E/C) | 0.95
|
|
|
|
|
|
|