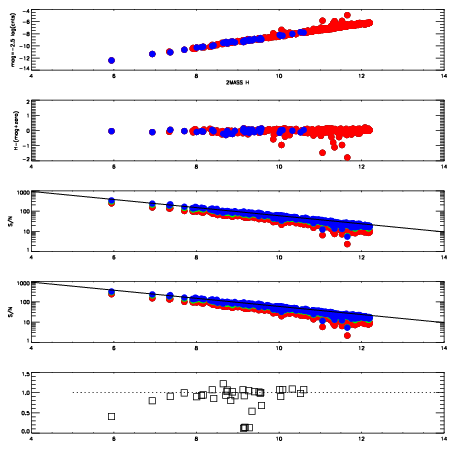
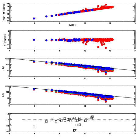
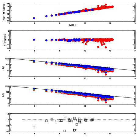
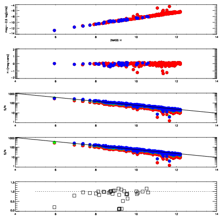
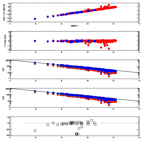
| Frame | Nreads | Zeropoints | Mag plots
| Spatial mag deviation
| Spatial sky 16325A emission deviations (filled: sky, open: star)
| Spatial sky continuum emission
| Spatial sky telluric CO2 absorption deviations (filled: H < 10)
|
| 7290011
| 47
| | Red | Green | Blue
| | z | | 18.72
| | znorm | | 14.54
| | sky | 14.7 | 14.3 | 14.2
| | S/N | 13.3 | 22.4 | 22.7
| | S/N(c) | 12.2 | 20.8 | 21.6
| | SN(E/C) | 0.90
|
|
|
|
|
|
|
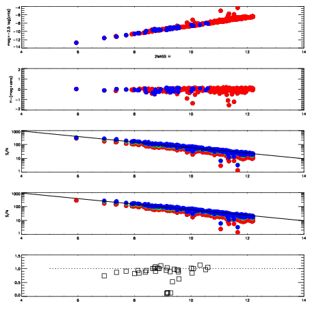
| 7290012
| 47
| | Red | Green | Blue
| | z | | 18.37
| | znorm | | 14.19
| | sky | 14.6 | 14.6 | 14.8
| | S/N | 10.2 | 17.6 | 18.2
| | S/N(c) | 9.0 | 16.4 | 17.4
| | SN(E/C) | 0.94
|
|
|
|
|
|
|
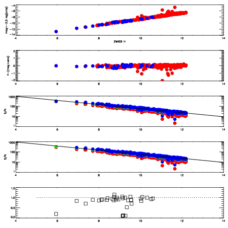
| 7290013
| 47
| | Red | Green | Blue
| | z | | 18.28
| | znorm | | 14.10
| | sky | 15.1 | 14.7 | 15.0
| | S/N | 9.6 | 16.9 | 17.0
| | S/N(c) | 8.5 | 15.5 | 16.2
| | SN(E/C) | 0.95
|
|
|
|
|
|
|
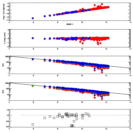
| 7290014
| 47
| | Red | Green | Blue
| | z | | 18.38
| | znorm | | 14.20
| | sky | 14.9 | 14.7 | 14.9
| | S/N | 10.5 | 17.7 | 18.2
| | S/N(c) | 9.1 | 16.3 | 17.3
| | SN(E/C) | 0.95
|
|
|
|
|
|
|
| 7290015
| 47
| | Red | Green | Blue
| | z | | 18.23
| | znorm | | 14.05
| | sky | 15.1 | 14.7 | 14.9
| | S/N | 9.3 | 16.3 | 16.6
| | S/N(c) | 8.0 | 14.9 | 15.8
| | SN(E/C) | 0.93
|
|
|
|
|
|
|
| 7290016
| 47
| | Red | Green | Blue
| | z | | 18.58
| | znorm | | 14.40
| | sky | 14.6 | 14.6 | 14.8
| | S/N | 12.0 | 20.2 | 21.0
| | S/N(c) | 10.5 | 18.7 | 19.5
| | SN(E/C) | 0.93
|
|
|
|
|
|
|
| 7290017
| 47
| | Red | Green | Blue
| | z | | 18.62
| | znorm | | 14.44
| | sky | 14.9 | 14.5 | 14.6
| | S/N | 12.0 | 20.5 | 21.2
| | S/N(c) | 10.7 | 18.9 | 19.9
| | SN(E/C) | 0.93
|
|
|
|
|
|
|
| 7290018
| 47
| | Red | Green | Blue
| | z | | 18.62
| | znorm | | 14.44
| | sky | 14.7 | 14.5 | 14.6
| | S/N | 12.3 | 20.8 | 21.3
| | S/N(c) | 11.0 | 19.2 | 20.0
| | SN(E/C) | 0.94
|
|
|
|
|
|
|