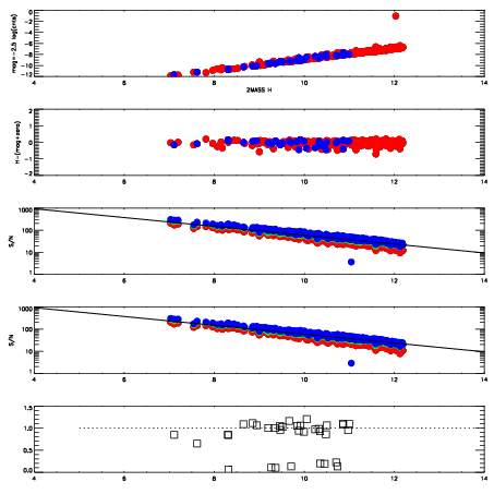
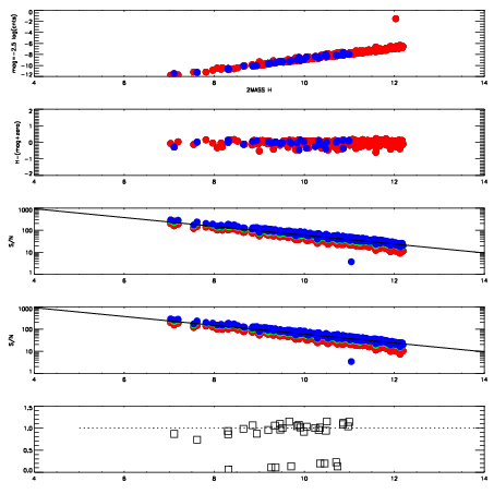
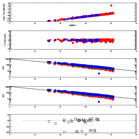
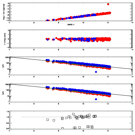
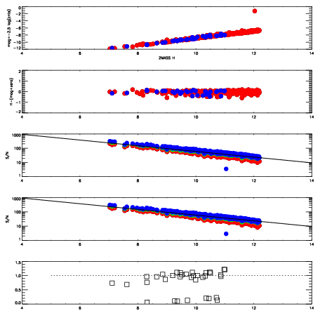
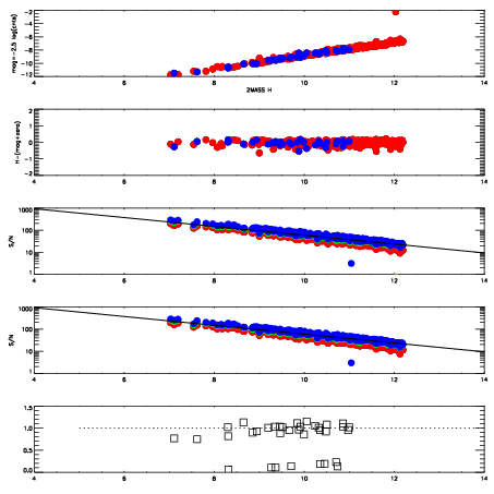
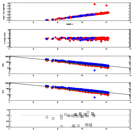
| Frame | Nreads | Zeropoints | Mag plots
| Spatial mag deviation
| Spatial sky 16325A emission deviations (filled: sky, open: star)
| Spatial sky continuum emission
| Spatial sky telluric CO2 absorption deviations (filled: H < 10)
|
| 7280011
| 47
| | Red | Green | Blue
| | z | | 18.86
| | znorm | | 14.68
| | sky | 14.5 | 14.1 | 13.9
| | S/N | 13.6 | 22.4 | 23.2
| | S/N(c) | 12.1 | 20.4 | 21.8
| | SN(E/C) | 0.95
|
|
|
|
|
|
|
| 7280012
| 47
| | Red | Green | Blue
| | z | | 18.89
| | znorm | | 14.71
| | sky | 15.1 | 14.6 | 14.7
| | S/N | 13.5 | 22.9 | 24.1
| | S/N(c) | 12.0 | 20.5 | 22.7
| | SN(E/C) | 0.98
|
|
|
|
|
|
|
| 7280013
| 47
| | Red | Green | Blue
| | z | | 18.86
| | znorm | | 14.68
| | sky | 14.9 | 14.7 | 14.8
| | S/N | 13.3 | 22.1 | 23.4
| | S/N(c) | 11.6 | 20.3 | 22.2
| | SN(E/C) | 0.96
|
|
|
|
|
|
|
| 7280014
| 47
| | Red | Green | Blue
| | z | | 18.88
| | znorm | | 14.70
| | sky | 15.2 | 14.7 | 14.9
| | S/N | 13.1 | 22.4 | 23.9
| | S/N(c) | 11.7 | 20.9 | 22.2
| | SN(E/C) | 0.95
|
|
|
|
|
|
|
| 7280015
| 47
| | Red | Green | Blue
| | z | | 18.91
| | znorm | | 14.73
| | sky | 15.2 | 14.7 | 15.0
| | S/N | 13.5 | 22.7 | 24.1
| | S/N(c) | 12.2 | 21.1 | 22.7
| | SN(E/C) | 0.95
|
|
|
|
|
|
|
| 7280016
| 47
| | Red | Green | Blue
| | z | | 18.92
| | znorm | | 14.74
| | sky | 14.9 | 14.7 | 14.9
| | S/N | 13.8 | 23.0 | 24.5
| | S/N(c) | 12.3 | 21.2 | 23.1
| | SN(E/C) | 0.97
|
|
|
|
|
|
|
| 7280017
| 47
| | Red | Green | Blue
| | z | | 18.96
| | znorm | | 14.78
| | sky | 14.9 | 14.8 | 14.9
| | S/N | 14.1 | 23.4 | 24.8
| | S/N(c) | 12.7 | 21.5 | 23.7
| | SN(E/C) | 0.97
|
|
|
|
|
|
|
| 7280018
| 47
| | Red | Green | Blue
| | z | | 18.99
| | znorm | | 14.80
| | sky | 15.1 | 14.8 | 14.9
| | S/N | 14.6 | 23.9 | 25.3
| | S/N(c) | 12.9 | 22.0 | 24.0
| | SN(E/C) | 0.95
|
|
|
|
|
|
|