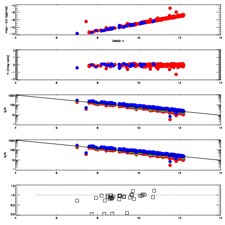
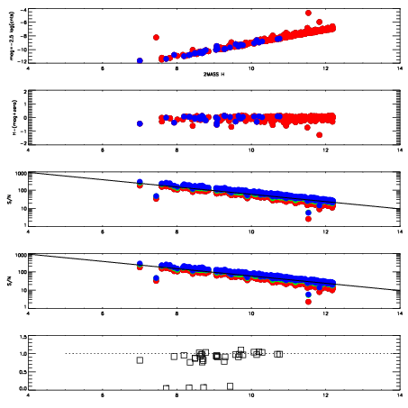
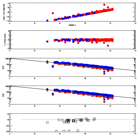
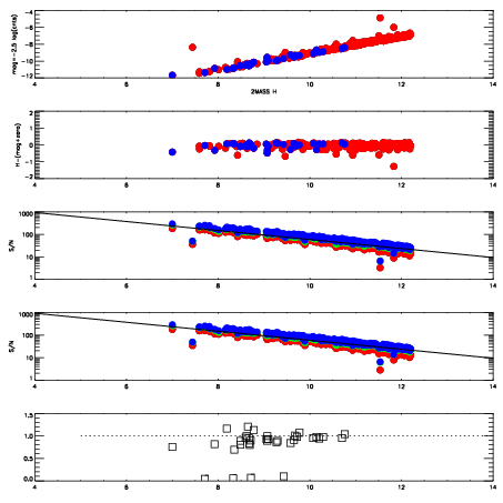
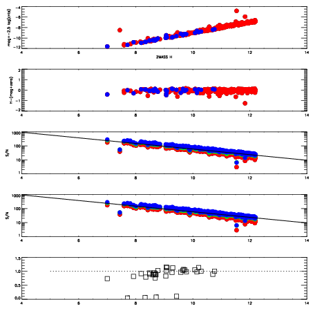
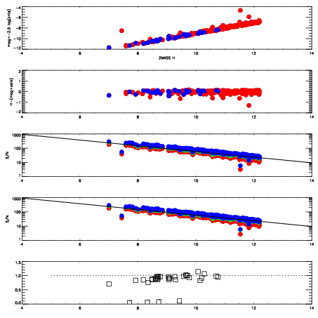
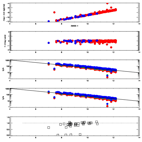
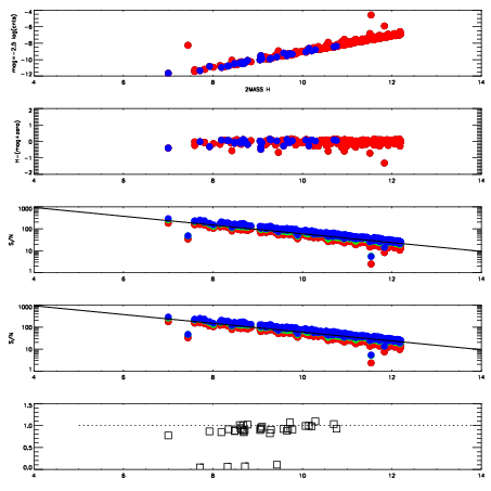
| Frame | Nreads | Zeropoints | Mag plots
| Spatial mag deviation
| Spatial sky 16325A emission deviations (filled: sky, open: star)
| Spatial sky continuum emission
| Spatial sky telluric CO2 absorption deviations (filled: H < 10)
|
| 6070080
| 47
| | Red | Green | Blue
| | z | | 19.04
| | znorm | | 14.86
| | sky | 14.5 | 14.4 | 14.7
| | S/N | 15.9 | 24.8 | 27.2
| | S/N(c) | 14.3 | 23.7 | 25.5
| | SN(E/C) | 0.89
|
|
|
|
|
|
|
| 6070081
| 47
| | Red | Green | Blue
| | z | | 19.10
| | znorm | | 14.92
| | sky | 14.5 | 14.4 | 14.7
| | S/N | 16.5 | 25.5 | 27.8
| | S/N(c) | 15.0 | 24.3 | 26.4
| | SN(E/C) | 0.93
|
|
|
|
|
|
|
| 6070082
| 47
| | Red | Green | Blue
| | z | | 19.04
| | znorm | | 14.85
| | sky | 14.7 | 14.4 | 14.7
| | S/N | 15.9 | 24.8 | 27.0
| | S/N(c) | 14.4 | 23.7 | 25.6
| | SN(E/C) | 0.91
|
|
|
|
|
|
|
| 6070083
| 47
| | Red | Green | Blue
| | z | | 19.04
| | znorm | | 14.86
| | sky | 14.6 | 14.6 | 14.8
| | S/N | 16.1 | 24.9 | 27.1
| | S/N(c) | 14.5 | 23.6 | 25.6
| | SN(E/C) | 0.93
|
|
|
|
|
|
|
| 6070084
| 47
| | Red | Green | Blue
| | z | | 19.02
| | znorm | | 14.84
| | sky | 14.6 | 14.7 | 14.9
| | S/N | 15.6 | 25.0 | 26.7
| | S/N(c) | 14.1 | 23.8 | 25.4
| | SN(E/C) | 0.94
|
|
|
|
|
|
|
| 6070085
| 47
| | Red | Green | Blue
| | z | | 19.06
| | znorm | | 14.88
| | sky | 14.7 | 14.8 | 15.0
| | S/N | 16.1 | 25.4 | 27.3
| | S/N(c) | 14.5 | 24.2 | 26.0
| | SN(E/C) | 0.91
|
|
|
|
|
|
|
| 6070086
| 47
| | Red | Green | Blue
| | z | | 19.11
| | znorm | | 14.93
| | sky | 14.5 | 14.7 | 15.0
| | S/N | 16.4 | 25.9 | 28.1
| | S/N(c) | 14.9 | 24.8 | 26.4
| | SN(E/C) | 0.90
|
|
|
|
|
|
|
| 6070087
| 47
| | Red | Green | Blue
| | z | | 19.08
| | znorm | | 14.90
| | sky | 14.6 | 14.8 | 14.9
| | S/N | 16.3 | 25.5 | 27.6
| | S/N(c) | 14.7 | 24.4 | 25.7
| | SN(E/C) | 0.92
|
|
|
|
|
|
|
| 6070088
| 47
| | Red | Green | Blue
| | z | | 19.09
| | znorm | | 14.91
| | sky | 14.6 | 14.7 | 15.0
| | S/N | 16.3 | 26.3 | 27.8
| | S/N(c) | 14.9 | 25.0 | 26.2
| | SN(E/C) | 0.94
|
|
|
|
|
|
|
| 6070089
| 47
| | Red | Green | Blue
| | z | | 19.11
| | znorm | | 14.93
| | sky | 14.6 | 14.7 | 14.7
| | S/N | 16.6 | 26.2 | 27.8
| | S/N(c) | 15.0 | 25.0 | 26.3
| | SN(E/C) | 0.93
|
|
|
|
|
|
|