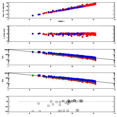
| Frame | Nreads | Zeropoints | Mag plots
| Spatial mag deviation
| Spatial sky 16325A emission deviations (filled: sky, open: star)
| Spatial sky continuum emission
| Spatial sky telluric CO2 absorption deviations (filled: H < 10)
|
| 7520011
| 47
| | Red | Green | Blue
| | z | | 19.07
| | znorm | | 14.89
| | sky | 14.2 | 13.8 | 13.7
| | S/N | 16.0 | 25.5 | 25.7
| | S/N(c) | 14.3 | 23.5 | 23.9
| | SN(E/C) | 0.90
|
|
|
|
|
|
|
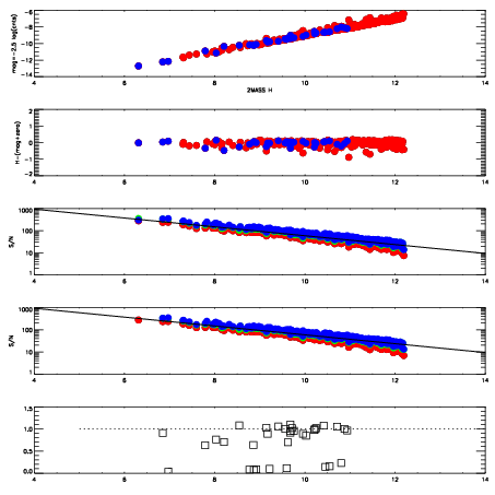
| 7520012
| 47
| | Red | Green | Blue
| | z | | 19.03
| | znorm | | 14.85
| | sky | 14.5 | 14.3 | 14.3
| | S/N | 15.4 | 24.2 | 25.6
| | S/N(c) | 13.5 | 22.5 | 23.9
| | SN(E/C) | 0.91
|
|
|
|
|
|
|
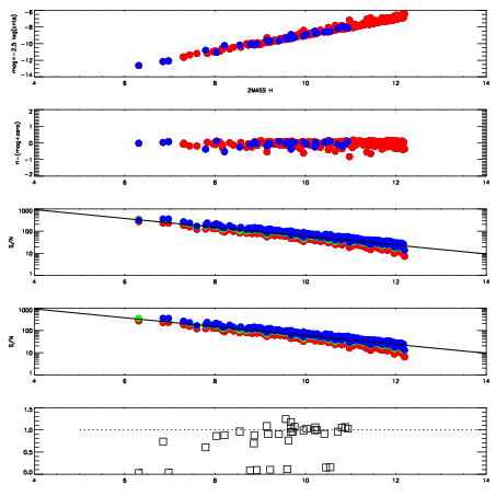
| 7520013
| 47
| | Red | Green | Blue
| | z | | 19.02
| | znorm | | 14.84
| | sky | 14.5 | 14.5 | 14.5
| | S/N | 15.5 | 24.5 | 25.8
| | S/N(c) | 13.7 | 22.7 | 23.9
| | SN(E/C) | 0.95
|
|
|
|
|
|
|
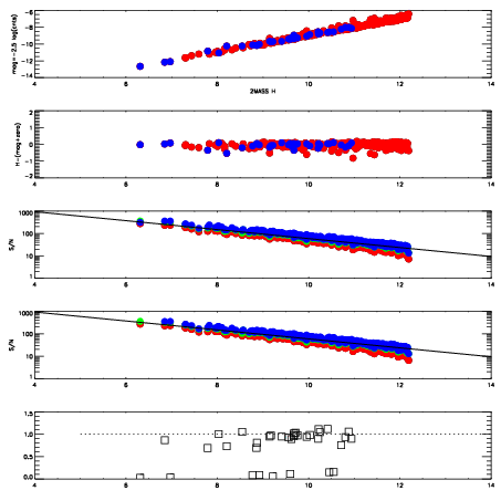
| 7520014
| 47
| | Red | Green | Blue
| | z | | 19.01
| | znorm | | 14.83
| | sky | 14.4 | 14.5 | 14.6
| | S/N | 14.6 | 24.5 | 25.6
| | S/N(c) | 13.2 | 22.5 | 23.8
| | SN(E/C) | 0.95
|
|
|
|
|
|
|
| 7520015
| 47
| | Red | Green | Blue
| | z | | 18.97
| | znorm | | 14.79
| | sky | 14.6 | 14.5 | 14.6
| | S/N | 14.8 | 23.7 | 25.3
| | S/N(c) | 13.1 | 21.8 | 23.4
| | SN(E/C) | 0.91
|
|
|
|
|
|
|
| 7520016
| 47
| | Red | Green | Blue
| | z | | 18.99
| | znorm | | 14.81
| | sky | 14.7 | 14.5 | 14.6
| | S/N | 14.9 | 24.0 | 25.4
| | S/N(c) | 12.9 | 22.1 | 23.7
| | SN(E/C) | 0.93
|
|
|
|
|
|
|
| 7520017
| 47
| | Red | Green | Blue
| | z | | 19.02
| | znorm | | 14.84
| | sky | 14.6 | 14.6 | 14.6
| | S/N | 15.2 | 24.4 | 26.0
| | S/N(c) | 13.3 | 22.5 | 24.2
| | SN(E/C) | 0.96
|
|
|
|
|
|
|
| 7520018
| 47
| | Red | Green | Blue
| | z | | 19.08
| | znorm | | 14.90
| | sky | 14.6 | 14.5 | 14.6
| | S/N | 15.7 | 25.1 | 26.9
| | S/N(c) | 14.0 | 23.0 | 24.9
| | SN(E/C) | 0.92
|
|
|
|
|
|
|