PLATE: 5607 MJD: 55928 FIELD: 173+00

FrameCartsec zseeingNreadsDitherPixshiftZerosky continuumS/NS/N(c)
3660024 4 1.35 1.43 47 0.00 -0.00 18.93 [14.71,14.34,14.28] [ 15.4, 24.7, 25.7] [ 13.5, 22.7, 24.4]
3660025 4 1.32 1.59 47 0.42 -0.00 18.89 [14.67,14.44,14.39] [ 14.8, 23.8, 25.0] [ 13.2, 22.3, 23.5]
3660026 4 1.28 1.35 47 0.43 0.00 18.99 [14.62,14.46,14.40] [ 15.5, 25.1, 26.4] [ 13.7, 23.5, 24.9]
3660027 4 1.25 1.27 47 -0.02 -0.00 19.03 [14.59,14.55,14.53] [ 16.1, 25.8, 27.2] [ 14.4, 24.2, 25.6]
3660028 4 1.23 1.20 47 -0.02 -0.00 19.08 [14.84,14.59,14.52] [ 16.6, 26.7, 27.8] [ 14.7, 24.8, 26.2]
3660029 4 1.20 1.16 47 0.41 -0.00 19.09 [14.73,14.60,14.54] [ 16.5, 26.7, 27.8] [ 14.9, 24.8, 26.3]
3660030 4 1.18 1.08 47 0.41 0.00 19.10 [14.48,14.65,14.58] [ 16.6, 26.7, 27.9] [ 14.9, 25.0, 26.5]
3660031 4 1.16 1.30 47 -0.02 0.00 19.04 [14.74,14.69,14.59] [ 16.0, 26.1, 27.1] [ 14.3, 24.3, 25.4]

IPAIRNAMESHIFTNEWSHIFTS/N NAMESHIFTNEWSHIFTS/N
0 03660026 0.425 0.000 308.01 03660031 -0.020 0.445 310.64
1 03660030 0.410 0.015 318.05 03660028 -0.020 0.445 317.27
2 03660029 0.409 0.016 317.01 03660027 -0.020 0.445 311.75
3 03660025 0.423 0.002 297.90 03660024 0.000 0.425 304.36

Visit (multiple exposure and dither combined) spectra

FrameZeropointsMag plots Spatial mag deviation Spatial sky 16325A emission deviations (filled: sky, open: star) Spatial sky continuum emission Spatial sky telluric CO2 absorption deviations (filled: H < 10)
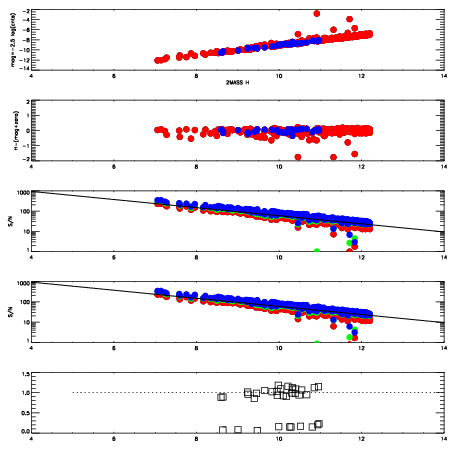
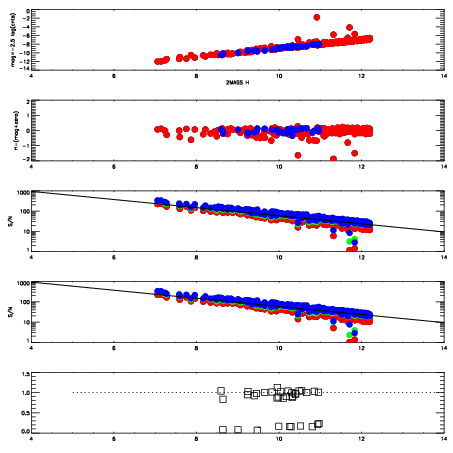
3660024
RedGreenBlue
z18.93
znorm14.75
sky 14.7 14.3 14.3
S/N 15.4 24.7 25.7
S/N(c) 13.5 22.7 24.4
SN(E/C) 0.99
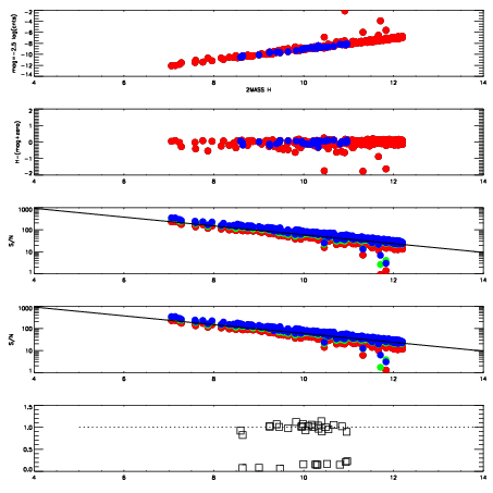
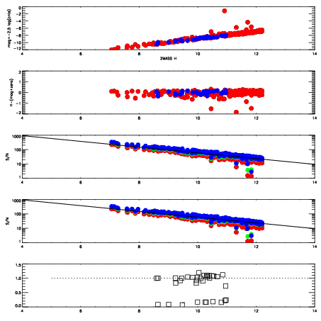
3660025
RedGreenBlue
z18.89
znorm14.71
sky 14.7 14.4 14.4
S/N 14.8 23.8 25.0
S/N(c) 13.2 22.3 23.5
SN(E/C) 0.99
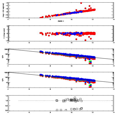
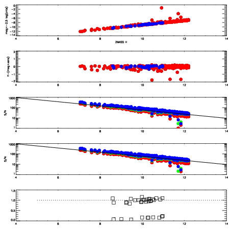
3660026
RedGreenBlue
z18.99
znorm14.81
sky 14.6 14.5 14.4
S/N 15.5 25.1 26.4
S/N(c) 13.7 23.5 24.9
SN(E/C) 0.92
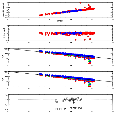
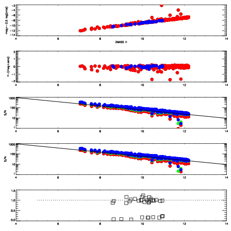
3660027
RedGreenBlue
z19.03
znorm14.85
sky 14.6 14.6 14.5
S/N 16.1 25.8 27.2
S/N(c) 14.4 24.2 25.6
SN(E/C) 0.93
3660028
RedGreenBlue
z19.08
znorm14.90
sky 14.8 14.6 14.5
S/N 16.6 26.7 27.8
S/N(c) 14.7 24.8 26.2
SN(E/C) 0.96
3660029
RedGreenBlue
z19.09
znorm14.91
sky 14.7 14.6 14.5
S/N 16.5 26.7 27.8
S/N(c) 14.9 24.8 26.3
SN(E/C) 0.95
3660030
RedGreenBlue
z19.10
znorm14.92
sky 14.5 14.6 14.6
S/N 16.6 26.7 27.9
S/N(c) 14.9 25.0 26.5
SN(E/C) 0.95
3660031
RedGreenBlue
z19.04
znorm14.86
sky 14.7 14.7 14.6
S/N 16.0 26.1 27.1
S/N(c) 14.3 24.3 25.4
SN(E/C) 0.96