PLATE: 5611 MJD: 55930 FIELD: 180+04

FrameCartsec zseeingNreadsDitherPixshiftZerosky continuumS/NS/N(c)
3680060 3 1.01 1.12 47 0.00 -0.00 19.17 [15.60,14.48,14.60] [ 15.2, 23.8, 28.9] [ 13.6, 22.6, 27.4]
3680061 3 1.02 1.23 47 0.40 0.00 19.14 [15.04,14.66,14.91] [ 15.0, 23.5, 29.1] [ 13.2, 22.2, 27.2]
3680062 3 1.02 1.36 47 0.40 0.00 19.12 [14.92,14.77,14.98] [ 14.4, 23.3, 28.3] [ 12.8, 22.0, 26.5]
3680063 3 1.03 1.38 47 -0.03 -0.00 19.17 [15.16,14.74,15.03] [ 15.2, 24.2, 29.6] [ 13.3, 22.6, 27.6]
3680064 3 1.04 1.39 47 -0.02 0.00 19.17 [15.08,14.87,14.99] [ 15.2, 23.9, 29.4] [ 13.1, 22.5, 27.4]
3680065 3 1.05 1.22 47 0.39 0.00 19.13 [14.64,14.65,14.97] [ 14.4, 23.6, 28.9] [ 12.8, 22.2, 27.0]
3680066 3 1.06 1.24 47 0.39 0.00 19.17 [15.16,14.94,15.00] [ 14.9, 23.9, 29.1] [ 13.4, 22.4, 27.2]
3680067 3 1.07 1.14 47 -0.03 -0.00 18.80 [14.21,14.11,14.15] [ 11.6, 19.1, 22.8] [ 10.1, 17.8, 21.0]

IPAIRNAMESHIFTNEWSHIFTS/N NAMESHIFTNEWSHIFTS/N
0 03680062 0.398 0.000 206.12 03680067 -0.030 0.428 174.26
1 03680066 0.395 0.003 214.76 03680063 -0.026 0.424 215.64
2 03680065 0.392 0.006 213.56 03680064 -0.024 0.422 209.32
3 03680061 0.396 0.002 208.65 03680060 0.000 0.398 207.49

Visit (multiple exposure and dither combined) spectra

FrameZeropointsMag plots Spatial mag deviation Spatial sky 16325A emission deviations (filled: sky, open: star) Spatial sky continuum emission Spatial sky telluric CO2 absorption deviations (filled: H < 10)
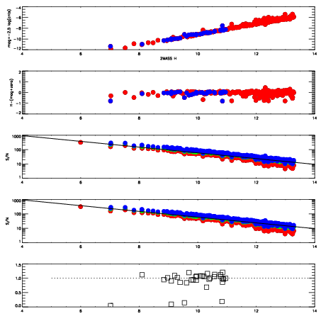
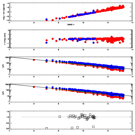
3680060
RedGreenBlue
z19.17
znorm14.99
sky 15.6 14.5 14.6
S/N 15.2 23.8 28.9
S/N(c) 13.6 22.6 27.4
SN(E/C) 0.97
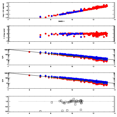
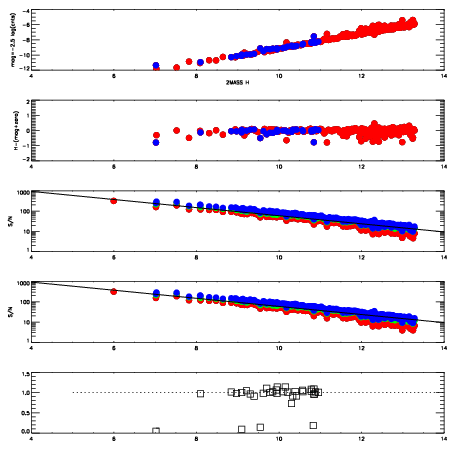
3680061
RedGreenBlue
z19.14
znorm14.96
sky 15.0 14.7 14.9
S/N 15.0 23.5 29.1
S/N(c) 13.2 22.2 27.2
SN(E/C) 0.99
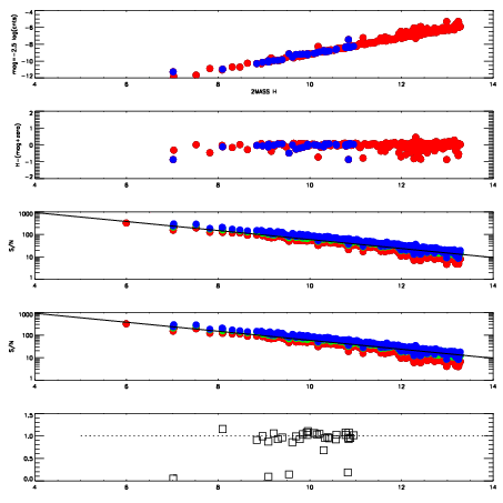
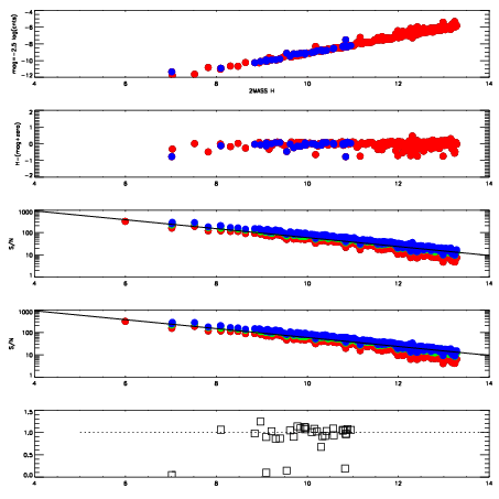
3680062
RedGreenBlue
z19.12
znorm14.94
sky 14.9 14.8 15.0
S/N 14.4 23.3 28.3
S/N(c) 12.8 22.0 26.5
SN(E/C) 0.97
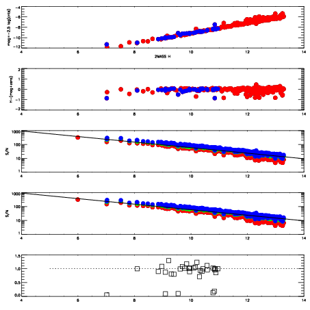
3680063
RedGreenBlue
z19.17
znorm14.99
sky 15.2 14.7 15.0
S/N 15.2 24.2 29.6
S/N(c) 13.3 22.6 27.6
SN(E/C) 1.01
3680064
RedGreenBlue
z19.17
znorm14.99
sky 15.1 14.9 15.0
S/N 15.2 23.9 29.4
S/N(c) 13.1 22.5 27.4
SN(E/C) 0.99
3680065
RedGreenBlue
z19.13
znorm14.95
sky 14.6 14.7 15.0
S/N 14.4 23.6 28.9
S/N(c) 12.8 22.2 27.0
SN(E/C) 1.02
3680066
RedGreenBlue
z19.17
znorm14.98
sky 15.2 14.9 15.0
S/N 14.9 23.9 29.1
S/N(c) 13.4 22.4 27.2
SN(E/C) 1.00
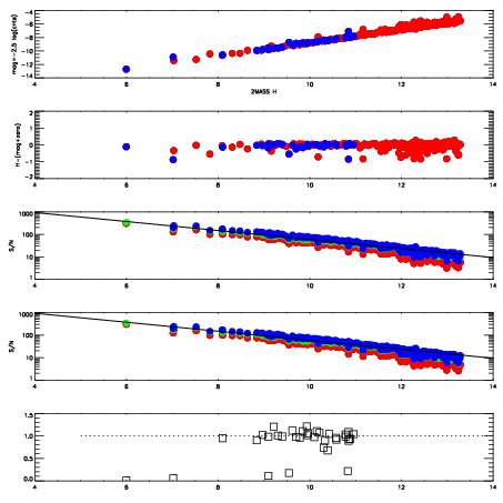
3680067
RedGreenBlue
z18.80
znorm14.62
sky 14.2 14.1 14.2
S/N 11.6 19.1 22.8
S/N(c) 10.1 17.8 21.0
SN(E/C) 0.97