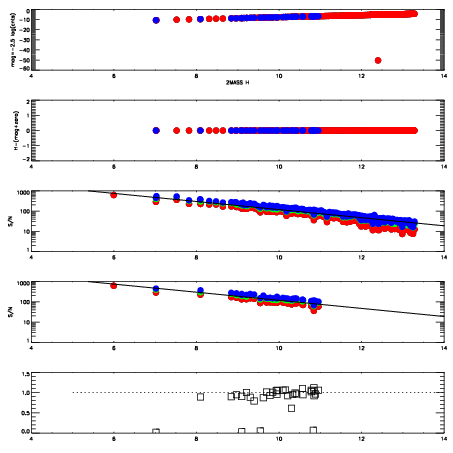
Left plots: red are targets, blue are telluric. Observed mags are calculated from median value of green chip. Zeropoint gives overall throughput: bigger number is more throughput.
First spatial plots: circles are objects, squares are tellurics, crosses are sky fibers. Colors give deviation of observed mag from expected 2MASS mag using the median zeropoint; red is brighter
Second spatial plots: circles are sky fibers. Colors give sky line brightness relative to plate median sky line brightness
FrameNreadsZeropointsMag plots Spatial mag deviation Spatial sky 16325A emission deviations (filled: sky, open: star) Spatial sky continuum emission Spatial sky telluric CO2 absorption deviations (filled: H < 10)
0 0
RedGreenBlue
z17.64
znorm Inf
sky -Inf -Inf -Inf
S/N 24.7 42.2 51.4
S/N(c) 0.0 0.0 0.0
SN(E/C) 0.96

IPAIRNAMESHIFTNEWSHIFTS/N NAMESHIFTNEWSHIFTS/N
0 03680062 0.398119 0.00000 206.119 03680067 -0.0295001 0.427619 174.264
1 03680066 0.394688 0.00343099 214.756 03680063 -0.0255162 0.423635 215.636
2 03680065 0.392413 0.00570601 213.557 03680064 -0.0239540 0.422073 209.322
3 03680061 0.395634 0.00248501 208.651 03680060 0.00000 0.398119 207.492