PLATE: 5613 MJD: 56616 FIELD: 235+06

FrameCartsec zseeingNreadsDitherPixshiftZerosky continuumS/NS/N(c)
10540092 6 1.58 1.55 47 0.00 0.00 18.80 [14.39,14.14,14.21] [ 13.0, 21.4, 24.1] [ 11.1, 19.7, 22.5]
10540093 6 1.57 1.64 47 0.50 -0.00 18.90 [14.55,14.35,14.52] [ 13.8, 22.9, 25.3] [ 12.0, 21.4, 23.3]
10540094 6 1.55 1.36 47 0.50 0.00 18.97 [15.03,14.44,14.65] [ 14.4, 23.9, 26.1] [ 12.7, 21.8, 24.2]
10540095 6 1.54 1.51 47 0.03 0.00 19.02 [14.82,14.45,14.67] [ 14.8, 24.4, 26.9] [ 12.7, 22.7, 24.9]
10540096 6 1.54 1.42 47 0.03 -0.00 19.02 [14.57,14.49,14.62] [ 14.8, 24.0, 26.8] [ 12.9, 21.9, 24.8]
10540097 6 1.54 1.47 47 0.49 0.00 19.00 [14.63,14.46,14.71] [ 14.7, 23.9, 26.6] [ 12.9, 21.7, 24.5]
10540098 6 1.53 1.48 47 0.49 -0.00 18.97 [14.51,14.52,14.67] [ 14.4, 23.5, 25.8] [ 12.6, 21.4, 23.7]
10540099 6 1.54 1.49 47 0.03 0.00 18.95 [14.57,14.35,14.53] [ 14.3, 23.1, 25.2] [ 12.3, 21.1, 23.5]
10540100 6 1.54 1.51 47 0.03 0.00 18.84 [14.32,14.27,14.41] [ 13.0, 21.5, 23.7] [ 11.3, 19.5, 22.0]
10540101 6 1.55 1.56 47 0.50 -0.00 18.90 [14.50,14.47,14.70] [ 13.6, 22.4, 24.5] [ 11.8, 20.5, 22.5]
10540102 6 1.56 1.47 47 0.50 0.00 18.90 [14.44,14.25,14.42] [ 13.3, 22.4, 24.3] [ 11.7, 20.4, 22.4]
10540103 6 1.57 1.60 47 0.03 0.00 18.84 [14.42,14.27,14.36] [ 12.7, 21.8, 23.1] [ 10.9, 19.7, 21.4]
10540104 6 1.58 1.58 47 0.04 0.00 18.78 [14.37,14.25,14.29] [ 12.6, 20.9, 22.4] [ 10.5, 19.0, 20.5]
10540105 6 1.60 1.61 47 0.50 -0.00 18.41 [13.78,13.75,13.82] [ 9.2, 16.0, 17.4] [ 7.9, 14.5, 15.8]
10540106 6 1.62 1.51 47 0.50 0.00 18.46 [13.87,13.77,13.90] [ 9.9, 16.7, 18.5] [ 8.3, 15.1, 16.7]
10540107 6 1.65 1.54 47 0.05 -0.00 17.25 [13.10,13.05,13.11] [ 3.2, 6.5, 6.9] [ 2.7, 5.6, 6.4]

IPAIRNAMESHIFTNEWSHIFTS/N NAMESHIFTNEWSHIFTS/N
0 10540105 0.502 0.000 174.96 10540104 0.036 0.465 202.73
1 10540097 0.491 0.011 225.66 10540096 0.032 0.470 225.41
2 10540098 0.491 0.010 223.89 10540095 0.034 0.468 225.21
3 10540101 0.499 0.003 220.12 10540099 0.031 0.471 220.72
4 10540094 0.497 0.004 217.85 10540100 0.032 0.470 212.63
5 10540102 0.496 0.006 217.81 10540103 0.033 0.469 208.37
6 10540093 0.500 0.001 210.84 10540092 0.000 0.502 202.80
7 10540106 0.501 0.001 172.82 10540107 0.054 0.448 90.69

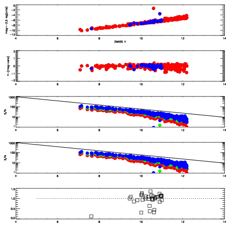
Visit (multiple exposure and dither combined) spectra

FrameZeropointsMag plots Spatial mag deviation Spatial sky 16325A emission deviations (filled: sky, open: star) Spatial sky continuum emission Spatial sky telluric CO2 absorption deviations (filled: H < 10)
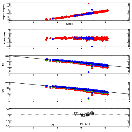
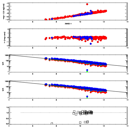
10540092
RedGreenBlue
z18.80
znorm14.62
sky 14.4 14.1 14.2
S/N 13.0 21.4 24.1
S/N(c) 11.1 19.7 22.5
SN(E/C) 0.98
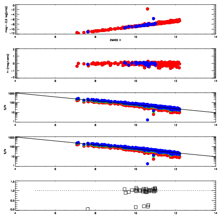
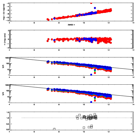
10540093
RedGreenBlue
z18.90
znorm14.72
sky 14.6 14.3 14.5
S/N 13.8 22.9 25.3
S/N(c) 12.0 21.4 23.3
SN(E/C) 0.99
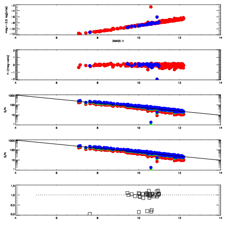
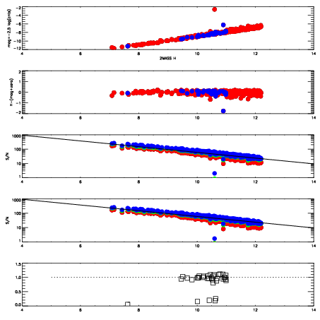
10540094
RedGreenBlue
z18.97
znorm14.79
sky 15.0 14.4 14.7
S/N 14.4 23.9 26.1
S/N(c) 12.7 21.8 24.2
SN(E/C) 0.99
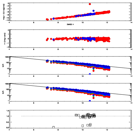
10540095
RedGreenBlue
z19.02
znorm14.83
sky 14.8 14.4 14.7
S/N 14.8 24.4 26.9
S/N(c) 12.7 22.7 24.9
SN(E/C) 0.97
10540096
RedGreenBlue
z19.02
znorm14.84
sky 14.6 14.5 14.6
S/N 14.8 24.0 26.8
S/N(c) 12.9 21.9 24.8
SN(E/C) 0.96
10540097
RedGreenBlue
z19.00
znorm14.82
sky 14.6 14.5 14.7
S/N 14.7 23.9 26.6
S/N(c) 12.9 21.7 24.5
SN(E/C) 1.00
10540098
RedGreenBlue
z18.97
znorm14.79
sky 14.5 14.5 14.7
S/N 14.4 23.5 25.8
S/N(c) 12.6 21.4 23.7
SN(E/C) 1.02
10540099
RedGreenBlue
z18.95
znorm14.77
sky 14.6 14.4 14.5
S/N 14.3 23.1 25.2
S/N(c) 12.3 21.1 23.5
SN(E/C) 0.98
10540100
RedGreenBlue
z18.84
znorm14.66
sky 14.3 14.3 14.4
S/N 13.0 21.5 23.7
S/N(c) 11.3 19.5 22.0
SN(E/C) 0.98
10540101
RedGreenBlue
z18.90
znorm14.72
sky 14.5 14.5 14.7
S/N 13.6 22.4 24.5
S/N(c) 11.8 20.5 22.5
SN(E/C) 0.98
10540102
RedGreenBlue
z18.90
znorm14.72
sky 14.4 14.2 14.4
S/N 13.3 22.4 24.3
S/N(c) 11.7 20.4 22.4
SN(E/C) 1.00
10540103
RedGreenBlue
z18.84
znorm14.66
sky 14.4 14.3 14.4
S/N 12.7 21.8 23.1
S/N(c) 10.9 19.7 21.4
SN(E/C) 1.00
10540104
RedGreenBlue
z18.78
znorm14.60
sky 14.4 14.3 14.3
S/N 12.6 20.9 22.4
S/N(c) 10.5 19.0 20.5
SN(E/C) 0.97
10540105
RedGreenBlue
z18.41
znorm14.23
sky 13.8 13.7 13.8
S/N 9.2 16.0 17.4
S/N(c) 7.9 14.5 15.8
SN(E/C) 1.00
10540106
RedGreenBlue
z18.46
znorm14.28
sky 13.9 13.8 13.9
S/N 9.9 16.7 18.5
S/N(c) 8.3 15.1 16.7
SN(E/C) 1.02
10540107
RedGreenBlue
z17.25
znorm13.07
sky 13.1 13.0 13.1
S/N 3.2 6.5 6.9
S/N(c) 2.7 5.6 6.4
SN(E/C) 1.00