PLATE: 5615 MJD: 55931 FIELD: 182+25

FrameCartsec zseeingNreadsDitherPixshiftZerosky continuumS/NS/N(c)
3690067 9 1.01 1.66 47 0.00 0.00 19.01 [14.89,14.24,14.17] [ 15.0, 22.9, 27.1] [ 12.8, 21.1, 25.9]
3690068 9 1.00 1.55 47 0.39 -0.00 19.04 [14.57,14.31,14.33] [ 14.9, 23.4, 27.2] [ 12.9, 21.2, 26.0]
3690069 9 1.00 1.48 47 0.40 0.00 19.00 [14.66,14.31,14.37] [ 14.1, 22.4, 25.7] [ 12.2, 20.7, 24.7]
3690070 9 1.00 1.75 47 0.01 0.00 19.01 [14.36,14.50,14.40] [ 13.8, 22.4, 25.4] [ 12.0, 20.2, 24.2]
3690071 9 1.00 1.54 47 0.01 0.00 18.90 [14.49,14.41,14.44] [ 12.6, 21.2, 24.1] [ 10.8, 19.7, 23.1]
3690072 9 1.01 2.31 47 0.40 -0.00 18.83 [14.88,14.43,14.56] [ 12.9, 20.8, 23.8] [ 10.7, 18.9, 22.6]
3690073 9 1.01 1.44 47 0.40 0.00 18.86 [14.80,14.52,14.46] [ 13.2, 21.0, 24.2] [ 11.0, 19.0, 23.0]
3690074 9 1.01 1.65 47 0.00 0.00 18.71 [15.18,14.55,14.55] [ 11.8, 19.4, 22.5] [ 9.7, 17.5, 21.3]
3690075 9 1.02 1.56 47 0.00 0.00 18.92 [14.51,14.53,14.55] [ 13.9, 21.8, 24.8] [ 11.5, 19.8, 23.5]

IPAIRNAMESHIFTNEWSHIFTS/N NAMESHIFTNEWSHIFTS/N
0 03690073 0.405 0.000 250.91 03690075 0.003 0.402 256.36
1 03690068 0.392 0.013 277.97 03690067 0.000 0.405 273.65
2 03690069 0.396 0.009 273.42 03690070 0.008 0.397 271.27
3 03690072 0.401 0.003 248.79 03690071 0.007 0.398 256.03

Visit (multiple exposure and dither combined) spectra

FrameZeropointsMag plots Spatial mag deviation Spatial sky 16325A emission deviations (filled: sky, open: star) Spatial sky continuum emission Spatial sky telluric CO2 absorption deviations (filled: H < 10)
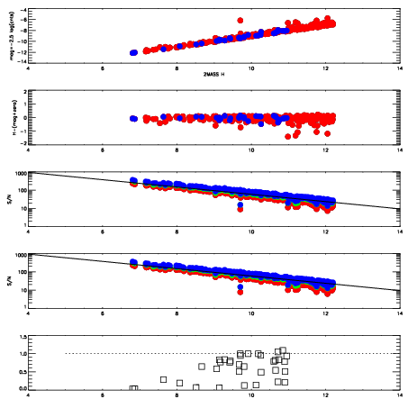
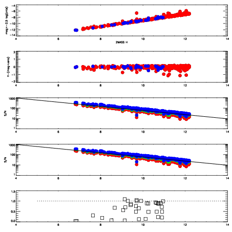
3690067
RedGreenBlue
z19.01
znorm14.83
sky 14.9 14.2 14.2
S/N 15.0 22.9 27.1
S/N(c) 12.8 21.1 25.9
SN(E/C) 0.70
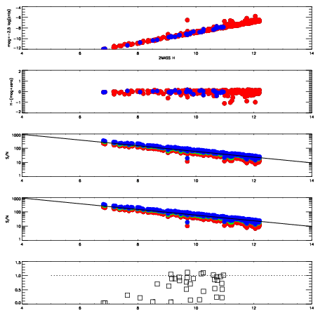
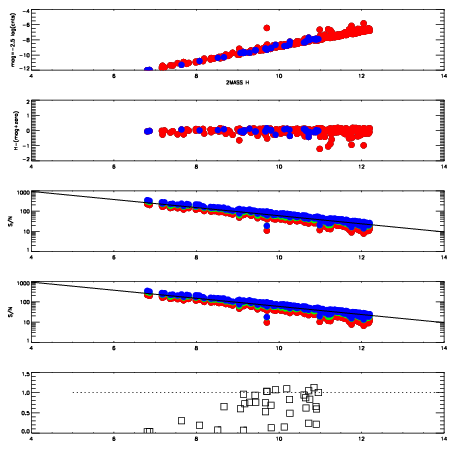
3690068
RedGreenBlue
z19.04
znorm14.86
sky 14.6 14.3 14.3
S/N 14.9 23.4 27.2
S/N(c) 12.9 21.2 26.0
SN(E/C) 0.69
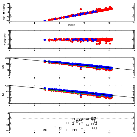
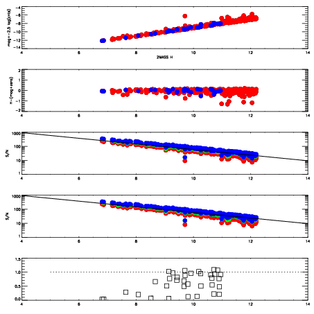
3690069
RedGreenBlue
z19.00
znorm14.82
sky 14.7 14.3 14.4
S/N 14.1 22.4 25.7
S/N(c) 12.2 20.7 24.7
SN(E/C) 0.68
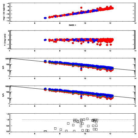
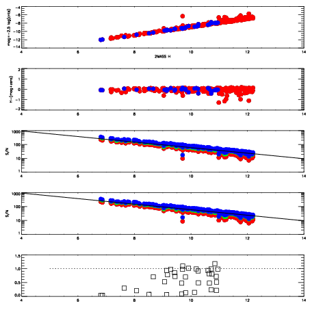
3690070
RedGreenBlue
z19.01
znorm14.83
sky 14.4 14.5 14.4
S/N 13.8 22.4 25.4
S/N(c) 12.0 20.2 24.2
SN(E/C) 0.70
3690071
RedGreenBlue
z18.90
znorm14.72
sky 14.5 14.4 14.4
S/N 12.6 21.2 24.1
S/N(c) 10.8 19.7 23.1
SN(E/C) 0.71
3690072
RedGreenBlue
z18.83
znorm14.65
sky 14.9 14.4 14.6
S/N 12.9 20.8 23.8
S/N(c) 10.7 18.9 22.6
SN(E/C) 0.72
3690073
RedGreenBlue
z18.86
znorm14.68
sky 14.8 14.5 14.5
S/N 13.2 21.0 24.2
S/N(c) 11.0 19.0 23.0
SN(E/C) 0.68
3690074
RedGreenBlue
z18.71
znorm14.53
sky 15.2 14.6 14.6
S/N 11.8 19.4 22.5
S/N(c) 9.7 17.5 21.3
SN(E/C) 0.65
3690075
RedGreenBlue
z18.92
znorm14.74
sky 14.5 14.5 14.5
S/N 13.9 21.8 24.8
S/N(c) 11.5 19.8 23.5
SN(E/C) 0.69