PLATE: 5615 MJD: 55967 FIELD: 182+25

FrameCartsec zseeingNreadsDitherPixshiftZerosky continuumS/NS/N(c)
4050047 5 1.00 2.84 47 0.00 -0.00 18.50 [14.96,14.71,14.64] [ 10.3, 17.4, 21.3] [ 9.0, 16.2, 20.5]
4050048 5 1.01 2.49 47 0.39 0.00 18.65 [14.86,14.49,14.88] [ 11.4, 19.4, 23.4] [ 10.1, 18.0, 22.0]
4050049 5 1.01 2.20 47 0.39 0.00 18.71 [14.85,14.60,14.89] [ 12.0, 19.9, 24.0] [ 10.5, 18.5, 22.4]
4050050 5 1.01 2.54 47 0.02 0.00 18.65 [14.89,14.55,14.80] [ 11.5, 19.3, 22.9] [ 10.1, 17.6, 21.6]
4050051 5 1.02 2.33 47 0.02 -0.00 18.52 [15.09,14.73,14.82] [ 10.6, 18.0, 21.5] [ 9.3, 16.5, 20.2]
4050052 5 1.02 2.90 47 0.38 0.00 18.72 [14.84,14.66,14.77] [ 11.8, 20.0, 23.3] [ 10.4, 18.4, 21.8]
4050053 5 1.03 2.17 47 0.39 -0.00 18.89 [14.73,14.52,14.74] [ 13.4, 22.0, 25.2] [ 11.9, 20.4, 23.7]
4050054 5 1.03 1.85 47 0.01 0.00 18.67 [14.98,14.67,14.83] [ 11.5, 19.5, 22.8] [ 10.3, 18.0, 21.4]

IPAIRNAMESHIFTNEWSHIFTS/N NAMESHIFTNEWSHIFTS/N
0 04050053 0.389 0.000 240.79 04050050 0.018 0.371 220.69
1 04050049 0.385 0.004 227.09 04050054 0.014 0.375 216.23
2 04050052 0.385 0.004 223.48 04050047 0.000 0.389 212.00
3 04050048 0.387 0.002 222.89 04050051 0.020 0.368 205.43

Visit (multiple exposure and dither combined) spectra

FrameZeropointsMag plots Spatial mag deviation Spatial sky 16325A emission deviations (filled: sky, open: star) Spatial sky continuum emission Spatial sky telluric CO2 absorption deviations (filled: H < 10)
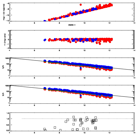
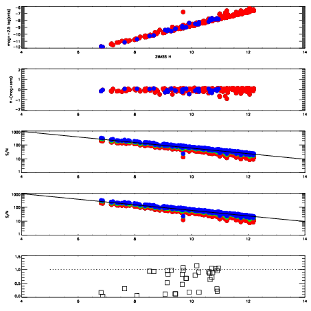
4050047
RedGreenBlue
z18.50
znorm14.32
sky 15.0 14.7 14.6
S/N 10.3 17.4 21.3
S/N(c) 9.0 16.2 20.5
SN(E/C) 0.79
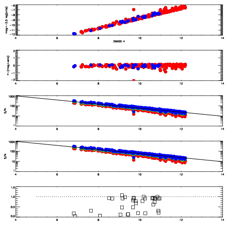
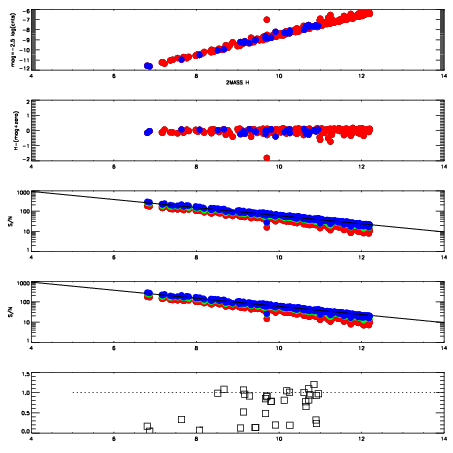
4050048
RedGreenBlue
z18.65
znorm14.47
sky 14.9 14.5 14.9
S/N 11.4 19.4 23.4
S/N(c) 10.1 18.0 22.0
SN(E/C) 0.77
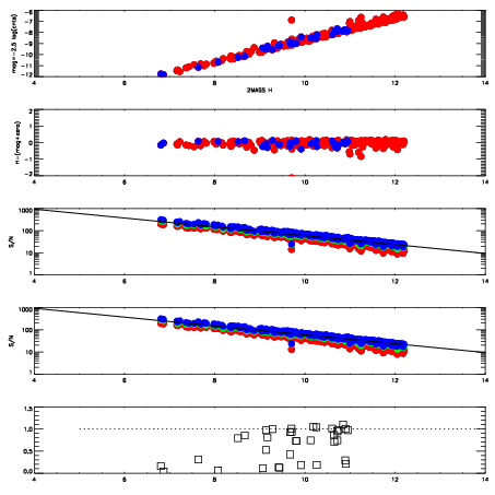
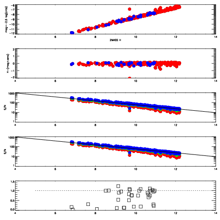
4050049
RedGreenBlue
z18.71
znorm14.53
sky 14.8 14.6 14.9
S/N 12.0 19.9 24.0
S/N(c) 10.5 18.5 22.4
SN(E/C) 0.74
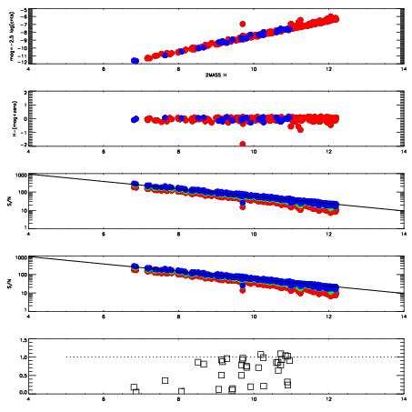
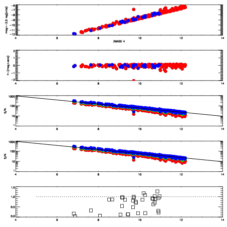
4050050
RedGreenBlue
z18.65
znorm14.47
sky 14.9 14.5 14.8
S/N 11.5 19.3 22.9
S/N(c) 10.1 17.6 21.6
SN(E/C) 0.81
4050051
RedGreenBlue
z18.52
znorm14.34
sky 15.1 14.7 14.8
S/N 10.6 18.0 21.5
S/N(c) 9.3 16.5 20.2
SN(E/C) 0.81
4050052
RedGreenBlue
z18.72
znorm14.54
sky 14.8 14.7 14.8
S/N 11.8 20.0 23.3
S/N(c) 10.4 18.4 21.8
SN(E/C) 0.79
4050053
RedGreenBlue
z18.89
znorm14.71
sky 14.7 14.5 14.7
S/N 13.4 22.0 25.2
S/N(c) 11.9 20.4 23.7
SN(E/C) 0.75
4050054
RedGreenBlue
z18.67
znorm14.49
sky 15.0 14.7 14.8
S/N 11.5 19.5 22.8
S/N(c) 10.3 18.0 21.4
SN(E/C) 0.78