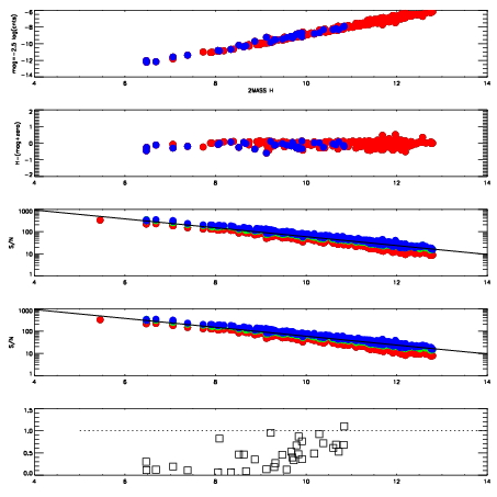
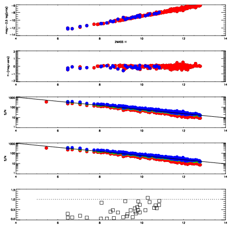
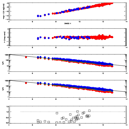
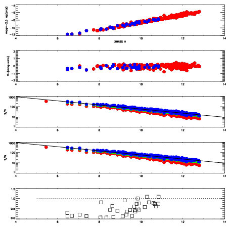
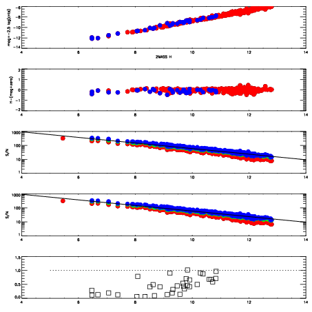
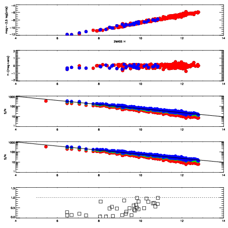
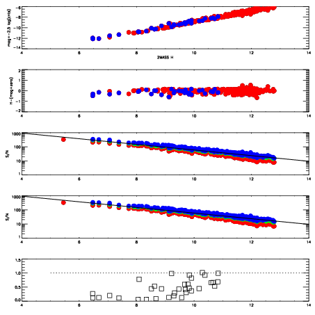
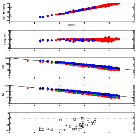
| Frame | Nreads | Zeropoints | Mag plots
| Spatial mag deviation
| Spatial sky 16325A emission deviations (filled: sky, open: star)
| Spatial sky continuum emission
| Spatial sky telluric CO2 absorption deviations (filled: H < 10)
|
| 7830049
| 47
| | Red | Green | Blue
| | z | | 18.65
| | znorm | | 14.47
| | sky | 15.3 | 14.6 | 14.3
| | S/N | 12.1 | 20.7 | 21.9
| | S/N(c) | 11.0 | 19.8 | 21.3
| | SN(E/C) | 0.45
|
|
|
|
|
|
|
| 7830050
| 47
| | Red | Green | Blue
| | z | | 18.72
| | znorm | | 14.54
| | sky | 15.0 | 14.9 | 14.7
| | S/N | 12.9 | 21.5 | 22.6
| | S/N(c) | 11.6 | 20.3 | 21.9
| | SN(E/C) | 0.47
|
|
|
|
|
|
|
| 7830051
| 47
| | Red | Green | Blue
| | z | | 18.90
| | znorm | | 14.72
| | sky | 15.1 | 14.8 | 14.6
| | S/N | 14.2 | 23.2 | 25.2
| | S/N(c) | 12.9 | 21.9 | 24.2
| | SN(E/C) | 0.44
|
|
|
|
|
|
|
| 7830052
| 47
| | Red | Green | Blue
| | z | | 18.95
| | znorm | | 14.77
| | sky | 14.9 | 14.8 | 14.6
| | S/N | 14.6 | 24.0 | 25.4
| | S/N(c) | 13.3 | 22.2 | 24.7
| | SN(E/C) | 0.46
|
|
|
|
|
|
|
| 7830053
| 47
| | Red | Green | Blue
| | z | | 18.96
| | znorm | | 14.78
| | sky | 14.9 | 14.9 | 14.7
| | S/N | 14.8 | 24.6 | 25.7
| | S/N(c) | 13.3 | 22.4 | 24.8
| | SN(E/C) | 0.47
|
|
|
|
|
|
|
| 7830054
| 47
| | Red | Green | Blue
| | z | | 18.96
| | znorm | | 14.78
| | sky | 15.1 | 14.9 | 14.6
| | S/N | 14.9 | 24.4 | 25.6
| | S/N(c) | 13.2 | 22.4 | 24.9
| | SN(E/C) | 0.44
|
|
|
|
|
|
|
| 7830055
| 47
| | Red | Green | Blue
| | z | | 18.92
| | znorm | | 14.74
| | sky | 15.3 | 14.9 | 14.7
| | S/N | 14.3 | 23.9 | 24.9
| | S/N(c) | 12.9 | 22.0 | 24.1
| | SN(E/C) | 0.45
|
|
|
|
|
|
|
| 7830056
| 47
| | Red | Green | Blue
| | z | | 18.79
| | znorm | | 14.61
| | sky | 15.4 | 15.1 | 14.8
| | S/N | 13.1 | 22.2 | 23.4
| | S/N(c) | 11.8 | 20.4 | 22.6
| | SN(E/C) | 0.44
|
|
|
|
|
|
|