PLATE: 5617 MJD: 55963 FIELD: 223+55

FrameCartsec zseeingNreadsDitherPixshiftZerosky continuumS/NS/N(c)
4010056 9 1.07 1.77 47 0.00 -0.00 18.54 [15.44,14.74,14.67] [ 11.6, 19.6, 21.7] [ 10.0, 18.2, 20.5]
4010057 9 1.06 2.33 47 0.30 -0.00 18.51 [15.36,14.82,15.18] [ 11.3, 19.4, 21.7] [ 9.8, 17.9, 20.4]
4010058 9 1.05 2.19 47 0.32 -0.00 18.52 [15.24,14.81,15.16] [ 11.4, 19.5, 21.9] [ 9.9, 18.0, 20.5]
4010059 9 1.05 2.26 47 -0.05 0.00 18.71 [15.01,14.81,15.17] [ 12.8, 21.5, 24.2] [ 11.0, 20.0, 23.0]
4010060 9 1.05 1.61 47 -0.07 0.00 18.92 [15.04,14.88,14.89] [ 14.4, 23.9, 26.6] [ 12.7, 22.3, 25.4]
4010061 9 1.04 2.02 47 0.33 0.00 18.62 [15.20,14.82,14.95] [ 11.7, 20.2, 22.7] [ 10.4, 18.7, 21.5]
4010062 9 1.04 1.67 47 0.30 0.00 18.76 [14.96,14.72,14.88] [ 13.1, 22.1, 24.5] [ 11.3, 20.5, 23.3]
4010063 9 1.04 1.53 47 -0.08 0.00 18.90 [14.87,14.76,14.86] [ 14.5, 23.6, 26.7] [ 12.6, 22.1, 25.4]

IPAIRNAMESHIFTNEWSHIFTS/N NAMESHIFTNEWSHIFTS/N
0 04010061 0.326 0.000 224.76 04010060 -0.065 0.391 249.04
1 04010062 0.305 0.022 236.44 04010063 -0.081 0.407 253.27
2 04010058 0.316 0.011 206.12 04010059 -0.051 0.377 226.04
3 04010057 0.298 0.029 204.86 04010056 0.000 0.326 207.10

Visit (multiple exposure and dither combined) spectra

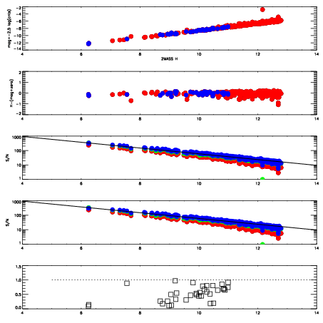
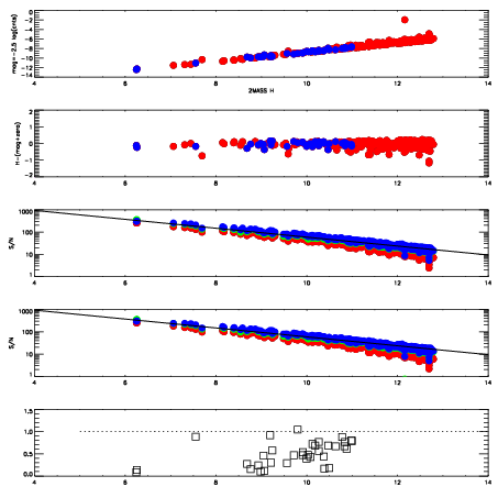
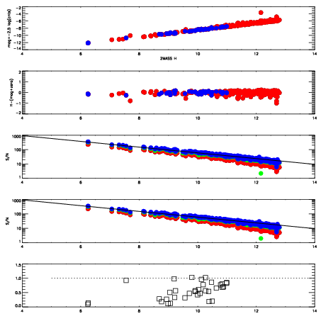
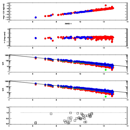
FrameZeropointsMag plots Spatial mag deviation Spatial sky 16325A emission deviations (filled: sky, open: star) Spatial sky continuum emission Spatial sky telluric CO2 absorption deviations (filled: H < 10)
4010056
RedGreenBlue
z18.54
znorm14.36
sky 15.4 14.7 14.7
S/N 11.6 19.6 21.7
S/N(c) 10.0 18.2 20.5
SN(E/C) 0.55
4010057
RedGreenBlue
z18.51
znorm14.33
sky 15.4 14.8 15.2
S/N 11.3 19.4 21.7
S/N(c) 9.8 17.9 20.4
SN(E/C) 0.56
4010058
RedGreenBlue
z18.52
znorm14.34
sky 15.2 14.8 15.2
S/N 11.4 19.5 21.9
S/N(c) 9.9 18.0 20.5
SN(E/C) 0.58
4010059
RedGreenBlue
z18.71
znorm14.53
sky 15.0 14.8 15.2
S/N 12.8 21.5 24.2
S/N(c) 11.0 20.0 23.0
SN(E/C) 0.51
4010060
RedGreenBlue
z18.92
znorm14.74
sky 15.0 14.9 14.9
S/N 14.4 23.9 26.6
S/N(c) 12.7 22.3 25.4
SN(E/C) 0.48
4010061
RedGreenBlue
z18.62
znorm14.44
sky 15.2 14.8 14.9
S/N 11.7 20.2 22.7
S/N(c) 10.4 18.7 21.5
SN(E/C) 0.53
4010062
RedGreenBlue
z18.76
znorm14.58
sky 15.0 14.7 14.9
S/N 13.1 22.1 24.5
S/N(c) 11.3 20.5 23.3
SN(E/C) 0.48
4010063
RedGreenBlue
z18.90
znorm14.72
sky 14.9 14.8 14.9
S/N 14.5 23.6 26.7
S/N(c) 12.6 22.1 25.4
SN(E/C) 0.49