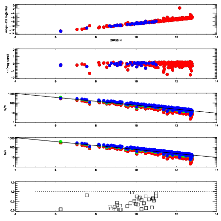
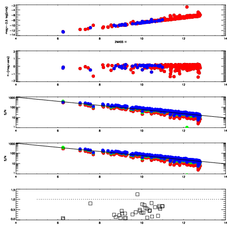
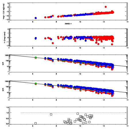
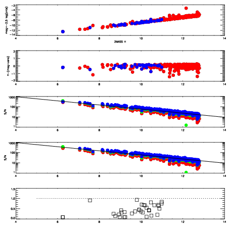
| Frame | Nreads | Zeropoints | Mag plots
| Spatial mag deviation
| Spatial sky 16325A emission deviations (filled: sky, open: star)
| Spatial sky continuum emission
| Spatial sky telluric CO2 absorption deviations (filled: H < 10)
|
| 4290034
| 47
| | Red | Green | Blue
| | z | | 18.91
| | znorm | | 14.73
| | sky | 14.5 | 14.1 | 14.0
| | S/N | 14.6 | 22.6 | 27.1
| | S/N(c) | 12.8 | 21.0 | 25.5
| | SN(E/C) | 0.42
|
|
|
|
|
|
|
| 4290035
| 47
| | Red | Green | Blue
| | z | | 18.92
| | znorm | | 14.74
| | sky | 14.2 | 14.1 | 14.2
| | S/N | 14.5 | 22.7 | 27.2
| | S/N(c) | 12.7 | 21.4 | 25.5
| | SN(E/C) | 0.41
|
|
|
|
|
|
|
| 4290036
| 47
| | Red | Green | Blue
| | z | | 18.95
| | znorm | | 14.77
| | sky | 14.3 | 14.2 | 14.3
| | S/N | 14.7 | 23.2 | 27.6
| | S/N(c) | 12.9 | 21.7 | 26.1
| | SN(E/C) | 0.42
|
|
|
|
|
|
|
| 4290037
| 47
| | Red | Green | Blue
| | z | | 18.97
| | znorm | | 14.79
| | sky | 14.4 | 14.2 | 14.3
| | S/N | 15.0 | 23.6 | 27.9
| | S/N(c) | 13.4 | 22.1 | 26.6
| | SN(E/C) | 0.40
|
|
|
|
|
|
|
| 4290038
| 47
| | Red | Green | Blue
| | z | | 18.94
| | znorm | | 14.76
| | sky | 14.5 | 14.3 | 14.3
| | S/N | 14.6 | 23.3 | 27.5
| | S/N(c) | 13.0 | 21.7 | 25.8
| | SN(E/C) | 0.40
|
|
|
|
|
|
|
| 4290039
| 47
| | Red | Green | Blue
| | z | | 18.97
| | znorm | | 14.79
| | sky | 14.3 | 14.2 | 14.2
| | S/N | 14.7 | 23.5 | 27.8
| | S/N(c) | 13.0 | 22.1 | 26.3
| | SN(E/C) | 0.40
|
|
|
|
|
|
|
| 4290040
| 47
| | Red | Green | Blue
| | z | | 19.00
| | znorm | | 14.82
| | sky | 14.3 | 14.2 | 14.2
| | S/N | 14.9 | 23.8 | 27.9
| | S/N(c) | 13.3 | 22.1 | 26.3
| | SN(E/C) | 0.41
|
|
|
|
|
|
|
| 4290041
| 47
| | Red | Green | Blue
| | z | | 19.02
| | znorm | | 14.84
| | sky | 14.4 | 14.1 | 14.2
| | S/N | 15.2 | 24.4 | 27.9
| | S/N(c) | 13.7 | 22.5 | 26.3
| | SN(E/C) | 0.41
|
|
|
|
|
|
|