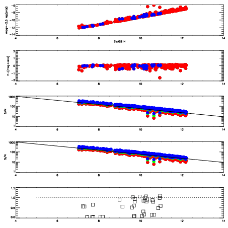
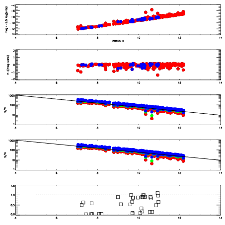
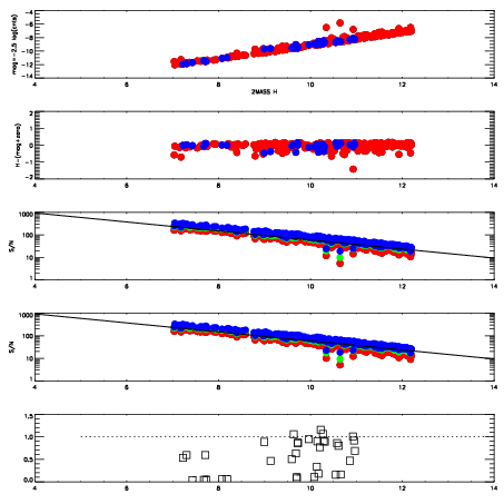
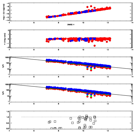
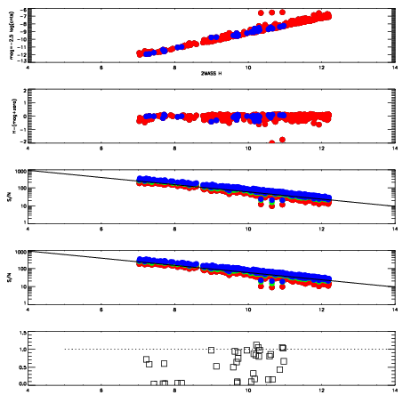
| Frame | Nreads | Zeropoints | Mag plots
| Spatial mag deviation
| Spatial sky 16325A emission deviations (filled: sky, open: star)
| Spatial sky continuum emission
| Spatial sky telluric CO2 absorption deviations (filled: H < 10)
|
| 4560025
| 47
| | Red | Green | Blue
| | z | | 19.16
| | znorm | | 14.98
| | sky | 14.3 | 14.1 | 13.9
| | S/N | 16.3 | 26.0 | 28.0
| | S/N(c) | 14.5 | 23.6 | 26.6
| | SN(E/C) | 0.62
|
|
|
|
|
|
|
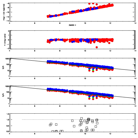
| 4560026
| 47
| | Red | Green | Blue
| | z | | 19.15
| | znorm | | 14.97
| | sky | 14.5 | 14.1 | 14.0
| | S/N | 16.2 | 25.7 | 28.0
| | S/N(c) | 14.4 | 23.6 | 26.6
| | SN(E/C) | 0.60
|
|
|
|
|
|
|
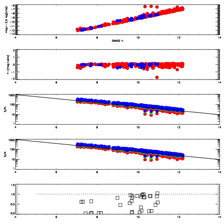
| 4560027
| 47
| | Red | Green | Blue
| | z | | 19.18
| | znorm | | 15.00
| | sky | 14.2 | 14.2 | 14.0
| | S/N | 16.4 | 26.1 | 28.2
| | S/N(c) | 14.7 | 24.4 | 27.0
| | SN(E/C) | 0.63
|
|
|
|
|
|
|
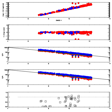
| 4560028
| 47
| | Red | Green | Blue
| | z | | 19.18
| | znorm | | 15.00
| | sky | 14.4 | 14.2 | 14.2
| | S/N | 16.4 | 26.2 | 28.5
| | S/N(c) | 14.6 | 24.5 | 27.0
| | SN(E/C) | 0.59
|
|
|
|
|
|
|
| 4560029
| 47
| | Red | Green | Blue
| | z | | 19.20
| | znorm | | 15.02
| | sky | 14.2 | 14.2 | 14.2
| | S/N | 16.4 | 26.7 | 28.5
| | S/N(c) | 14.5 | 24.8 | 27.3
| | SN(E/C) | 0.64
|
|
|
|
|
|
|
| 4560030
| 47
| | Red | Green | Blue
| | z | | 19.18
| | znorm | | 15.00
| | sky | 14.2 | 14.4 | 14.2
| | S/N | 16.2 | 26.5 | 28.3
| | S/N(c) | 14.5 | 24.6 | 27.1
| | SN(E/C) | 0.62
|
|
|
|
|
|
|
| 4560031
| 47
| | Red | Green | Blue
| | z | | 19.17
| | znorm | | 14.99
| | sky | 14.4 | 14.3 | 14.2
| | S/N | 15.9 | 26.4 | 28.2
| | S/N(c) | 14.3 | 24.4 | 26.7
| | SN(E/C) | 0.64
|
|
|
|
|
|
|
| 4560032
| 47
| | Red | Green | Blue
| | z | | 19.18
| | znorm | | 15.00
| | sky | 14.4 | 14.4 | 14.2
| | S/N | 16.0 | 26.3 | 28.3
| | S/N(c) | 14.1 | 24.5 | 26.9
| | SN(E/C) | 0.60
|
|
|
|
|
|
|