PLATE: 5619 MJD: 56266 FIELD: 240+18

FrameCartsec zseeingNreadsDitherPixshiftZerosky continuumS/NS/N(c)
7040059 5 1.48 1.60 47 0.00 0.00 18.45 [14.05,13.74,13.72] [ 9.8, 16.0, 18.1] [ 8.2, 14.7, 17.0]
7040060 5 1.50 1.76 47 0.46 -0.00 18.62 [13.73,13.60,13.70] [ 10.7, 18.1, 20.7] [ 9.3, 16.4, 19.1]
7040061 5 1.51 1.56 47 0.47 0.00 18.46 [13.79,13.64,13.66] [ 9.6, 16.0, 18.7] [ 8.3, 14.6, 17.3]
7040062 5 1.53 2.02 47 0.05 0.00 18.11 [13.69,13.61,13.68] [ 7.2, 12.6, 14.7] [ 6.1, 11.4, 13.6]
7040063 5 1.55 2.26 47 0.05 -0.00 18.16 [13.86,13.72,13.78] [ 7.7, 13.0, 15.4] [ 6.6, 11.8, 14.1]
7040064 5 1.57 1.68 47 0.47 0.00 18.31 [13.71,13.64,13.66] [ 8.4, 14.6, 17.0] [ 7.1, 13.1, 15.4]
7040065 5 1.59 1.59 47 0.47 0.00 18.27 [13.53,13.48,13.55] [ 8.2, 14.0, 16.5] [ 6.9, 12.5, 14.9]
7040066 5 1.62 1.71 47 0.05 0.00 18.29 [13.72,13.74,13.80] [ 8.6, 14.5, 16.8] [ 7.2, 12.9, 15.4]
7040067 5 1.66 2.06 47 0.05 0.00 18.58 [13.93,13.83,13.94] [ 10.8, 17.7, 20.2] [ 9.0, 15.9, 18.3]
7040068 5 1.69 1.40 47 0.46 -0.00 18.51 [14.07,13.88,13.97] [ 10.2, 17.1, 19.4] [ 8.9, 15.6, 17.6]

IPAIRNAMESHIFTNEWSHIFTS/N NAMESHIFTNEWSHIFTS/N
0 07040064 0.473 0.000 200.70 07040063 0.049 0.424 184.92
1 07040060 0.461 0.012 223.49 07040067 0.047 0.427 229.43
2 07040068 0.461 0.012 223.38 07040059 0.000 0.473 208.14
3 07040061 0.469 0.004 209.15 07040066 0.046 0.428 200.92
4 07040065 0.470 0.003 199.99 07040062 0.050 0.423 181.37

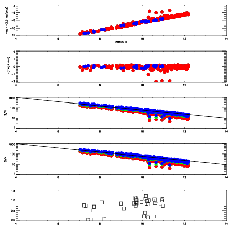
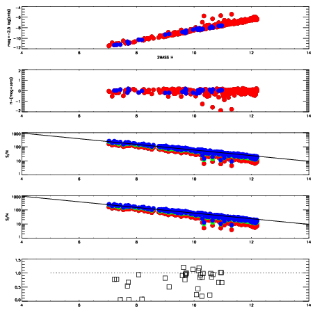
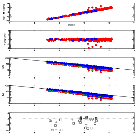
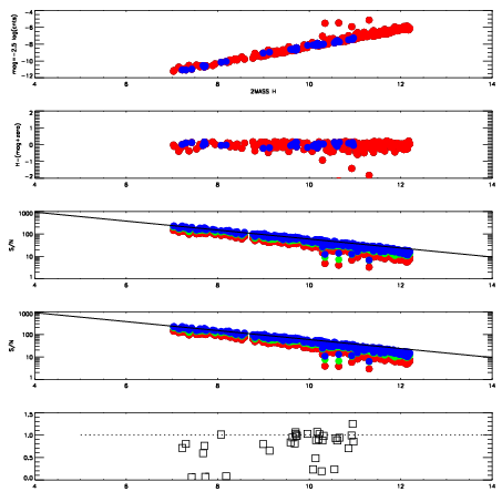
Visit (multiple exposure and dither combined) spectra

FrameZeropointsMag plots Spatial mag deviation Spatial sky 16325A emission deviations (filled: sky, open: star) Spatial sky continuum emission Spatial sky telluric CO2 absorption deviations (filled: H < 10)
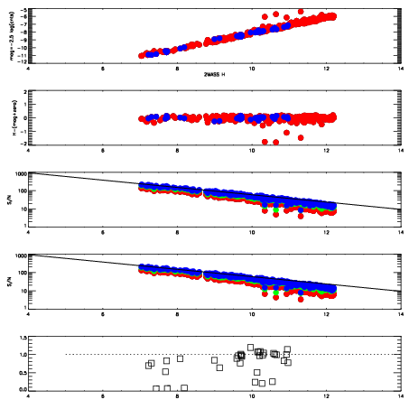
7040059
RedGreenBlue
z18.45
znorm14.27
sky 14.1 13.7 13.7
S/N 9.8 16.0 18.1
S/N(c) 8.2 14.7 17.0
SN(E/C) 0.88
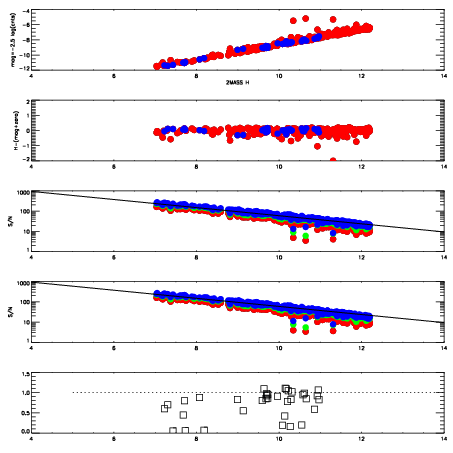
7040060
RedGreenBlue
z18.62
znorm14.44
sky 13.7 13.6 13.7
S/N 10.7 18.1 20.7
S/N(c) 9.3 16.4 19.1
SN(E/C) 0.83
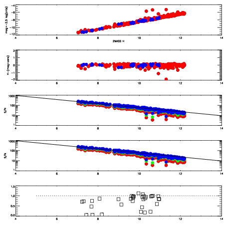
7040061
RedGreenBlue
z18.46
znorm14.28
sky 13.8 13.6 13.7
S/N 9.6 16.0 18.7
S/N(c) 8.3 14.6 17.3
SN(E/C) 0.84
7040062
RedGreenBlue
z18.11
znorm13.93
sky 13.7 13.6 13.7
S/N 7.2 12.6 14.7
S/N(c) 6.1 11.4 13.6
SN(E/C) 0.91
7040063
RedGreenBlue
z18.16
znorm13.98
sky 13.9 13.7 13.8
S/N 7.7 13.0 15.4
S/N(c) 6.6 11.8 14.1
SN(E/C) 0.89
7040064
RedGreenBlue
z18.31
znorm14.13
sky 13.7 13.6 13.7
S/N 8.4 14.6 17.0
S/N(c) 7.1 13.1 15.4
SN(E/C) 0.86
7040065
RedGreenBlue
z18.27
znorm14.09
sky 13.5 13.5 13.5
S/N 8.2 14.0 16.5
S/N(c) 6.9 12.5 14.9
SN(E/C) 0.88
7040066
RedGreenBlue
z18.29
znorm14.11
sky 13.7 13.7 13.8
S/N 8.6 14.5 16.8
S/N(c) 7.2 12.9 15.4
SN(E/C) 0.90
7040067
RedGreenBlue
z18.58
znorm14.40
sky 13.9 13.8 13.9
S/N 10.8 17.7 20.2
S/N(c) 9.0 15.9 18.3
SN(E/C) 0.83
7040068
RedGreenBlue
z18.51
znorm14.33
sky 14.1 13.9 14.0
S/N 10.2 17.1 19.4
S/N(c) 8.9 15.6 17.6
SN(E/C) 0.85