PLATE: 5621 MJD: 55939 FIELD: 221+84

FrameCartsec zseeingNreadsDitherPixshiftZerosky continuumS/NS/N(c)
3770047 4 1.08 1.87 47 0.00 0.00 19.08 [14.76,14.18,14.01] [ 16.1, 26.5, 28.7] [ 14.0, 23.8, 26.6]
3770048 4 1.07 1.42 47 0.46 0.00 19.09 [14.57,14.26,14.28] [ 16.4, 26.6, 28.7] [ 14.0, 23.8, 27.1]
3770049 4 1.05 1.44 47 0.46 -0.00 19.00 [14.73,14.28,14.33] [ 15.2, 25.5, 27.6] [ 13.0, 22.9, 25.9]
3770050 4 1.04 1.78 47 0.01 0.00 19.07 [14.66,14.26,14.32] [ 16.1, 26.5, 28.6] [ 13.4, 23.7, 26.8]
3770051 4 1.04 1.77 47 0.01 0.00 18.95 [14.54,14.24,14.34] [ 15.0, 25.0, 26.9] [ 12.2, 22.4, 25.1]
3770052 4 1.03 1.85 47 0.46 0.00 19.05 [14.46,14.30,14.37] [ 15.7, 26.4, 28.0] [ 13.2, 23.7, 26.4]
3770053 4 1.02 1.66 47 0.47 -0.00 18.95 [14.59,14.44,14.44] [ 14.6, 25.2, 26.9] [ 12.3, 22.3, 25.1]
3770054 4 1.02 2.25 47 0.01 0.00 18.83 [14.71,14.53,14.54] [ 13.7, 23.7, 25.0] [ 11.1, 20.8, 23.4]

IPAIRNAMESHIFTNEWSHIFTS/N NAMESHIFTNEWSHIFTS/N
0 03770053 0.467 0.000 244.68 03770054 0.011 0.455 233.28
1 03770048 0.455 0.011 261.96 03770047 0.000 0.467 260.47
2 03770052 0.456 0.010 255.87 03770050 0.010 0.457 258.22
3 03770049 0.455 0.011 251.39 03770051 0.010 0.457 245.06

Visit (multiple exposure and dither combined) spectra

FrameZeropointsMag plots Spatial mag deviation Spatial sky 16325A emission deviations (filled: sky, open: star) Spatial sky continuum emission Spatial sky telluric CO2 absorption deviations (filled: H < 10)
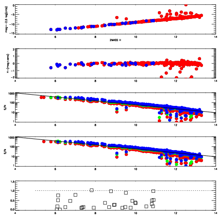
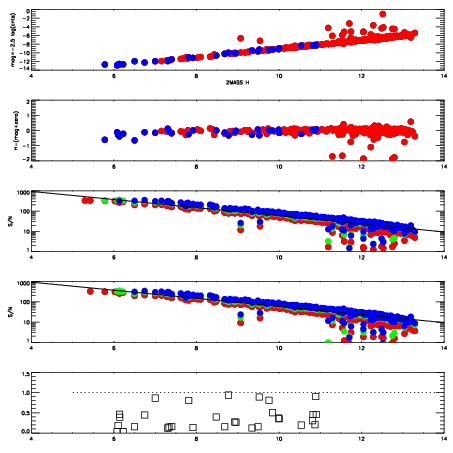
3770047
RedGreenBlue
z19.08
znorm14.90
sky 14.8 14.2 14.0
S/N 16.1 26.5 28.7
S/N(c) 14.0 23.8 26.6
SN(E/C) 0.30
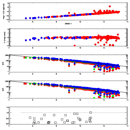
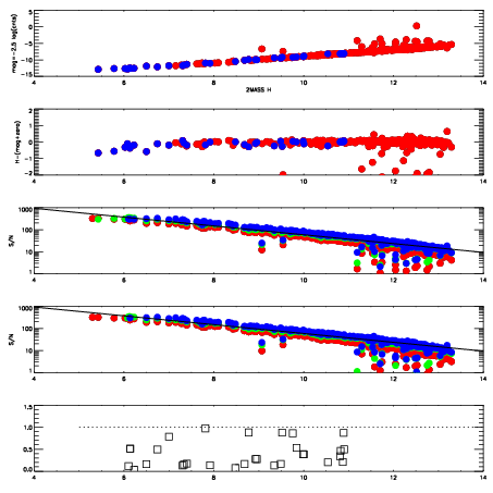
3770048
RedGreenBlue
z19.09
znorm14.91
sky 14.6 14.3 14.3
S/N 16.4 26.6 28.7
S/N(c) 14.0 23.8 27.1
SN(E/C) 0.30
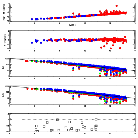
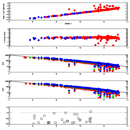
3770049
RedGreenBlue
z19.00
znorm14.82
sky 14.7 14.3 14.3
S/N 15.2 25.5 27.6
S/N(c) 13.0 22.9 25.9
SN(E/C) 0.34
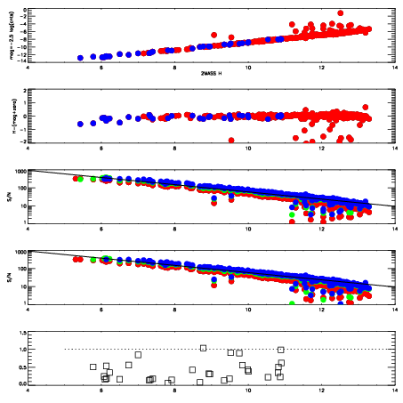
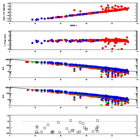
3770050
RedGreenBlue
z19.07
znorm14.89
sky 14.7 14.3 14.3
S/N 16.1 26.5 28.6
S/N(c) 13.4 23.7 26.8
SN(E/C) 0.36
3770051
RedGreenBlue
z18.95
znorm14.77
sky 14.5 14.2 14.3
S/N 15.0 25.0 26.9
S/N(c) 12.2 22.4 25.1
SN(E/C) 0.34
3770052
RedGreenBlue
z19.05
znorm14.87
sky 14.5 14.3 14.4
S/N 15.7 26.4 28.0
S/N(c) 13.2 23.7 26.4
SN(E/C) 0.29
3770053
RedGreenBlue
z18.95
znorm14.76
sky 14.6 14.4 14.4
S/N 14.6 25.2 26.9
S/N(c) 12.3 22.3 25.1
SN(E/C) 0.32
3770054
RedGreenBlue
z18.83
znorm14.65
sky 14.7 14.5 14.5
S/N 13.7 23.7 25.0
S/N(c) 11.1 20.8 23.4
SN(E/C) 0.34