PLATE: 5621 MJD: 55991 FIELD: 221+84

FrameCartsec zseeingNreadsDitherPixshiftZerosky continuumS/NS/N(c)
4290045 9 1.22 1.48 47 0.00 -0.00 18.88 [14.99,14.32,14.27] [ 13.8, 22.2, 25.0] [ 12.1, 20.0, 23.5]
4290046 9 1.19 1.72 47 0.46 -0.00 18.84 [14.83,14.37,14.75] [ 13.2, 22.1, 24.7] [ 10.9, 19.5, 22.6]
4290047 9 1.17 1.68 47 0.46 -0.00 18.93 [14.83,14.44,14.73] [ 14.2, 23.9, 26.1] [ 12.2, 21.0, 23.9]
4290048 9 1.15 1.41 47 0.00 0.00 18.98 [14.75,14.55,14.78] [ 14.5, 24.4, 26.7] [ 12.6, 21.7, 24.5]
4290049 9 1.13 1.37 47 0.00 -0.00 18.99 [14.88,14.61,14.89] [ 14.5, 24.8, 27.1] [ 12.5, 22.0, 24.9]
4290050 9 1.11 1.40 47 0.44 -0.00 19.00 [15.09,14.60,14.79] [ 14.8, 24.8, 27.2] [ 12.5, 22.2, 25.0]
4290051 9 1.10 1.46 47 0.45 0.00 18.97 [15.10,14.63,14.80] [ 14.4, 23.8, 26.9] [ 12.1, 21.4, 24.8]
4290052 9 1.08 1.56 47 0.00 -0.00 19.01 [15.14,14.71,14.87] [ 14.5, 24.7, 27.3] [ 12.4, 22.0, 25.4]

IPAIRNAMESHIFTNEWSHIFTS/N NAMESHIFTNEWSHIFTS/N
0 04290046 0.459 0.000 234.47 04290045 0.000 0.459 240.75
1 04290050 0.445 0.014 250.29 04290049 0.001 0.458 250.33
2 04290047 0.458 0.001 245.83 04290048 0.002 0.457 249.72
3 04290051 0.450 0.009 244.74 04290052 0.001 0.458 248.95

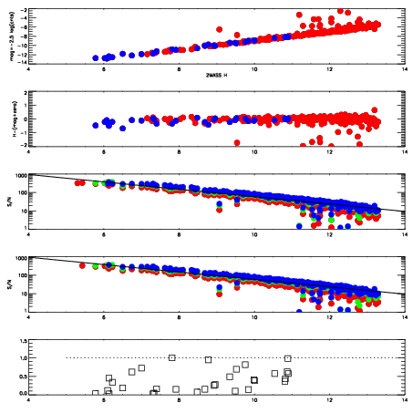
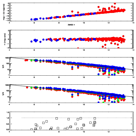
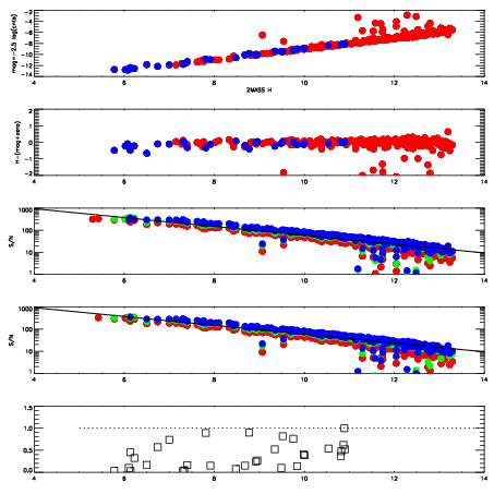
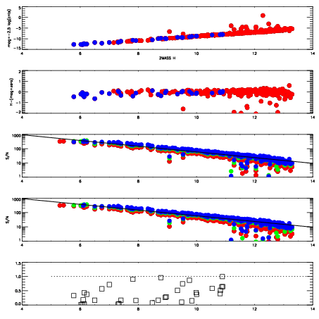
Visit (multiple exposure and dither combined) spectra

FrameZeropointsMag plots Spatial mag deviation Spatial sky 16325A emission deviations (filled: sky, open: star) Spatial sky continuum emission Spatial sky telluric CO2 absorption deviations (filled: H < 10)
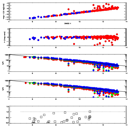
4290045
RedGreenBlue
z18.88
znorm14.70
sky 15.0 14.3 14.3
S/N 13.8 22.2 25.0
S/N(c) 12.1 20.0 23.5
SN(E/C) 0.37
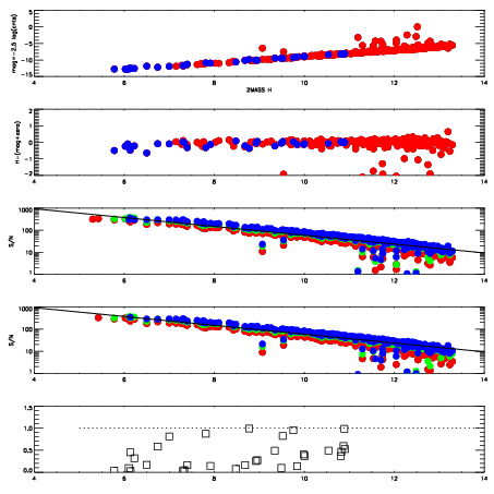
4290046
RedGreenBlue
z18.84
znorm14.66
sky 14.8 14.4 14.7
S/N 13.2 22.1 24.7
S/N(c) 10.9 19.5 22.6
SN(E/C) 0.35
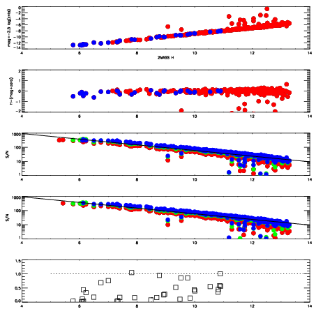
4290047
RedGreenBlue
z18.93
znorm14.75
sky 14.8 14.4 14.7
S/N 14.2 23.9 26.1
S/N(c) 12.2 21.0 23.9
SN(E/C) 0.36
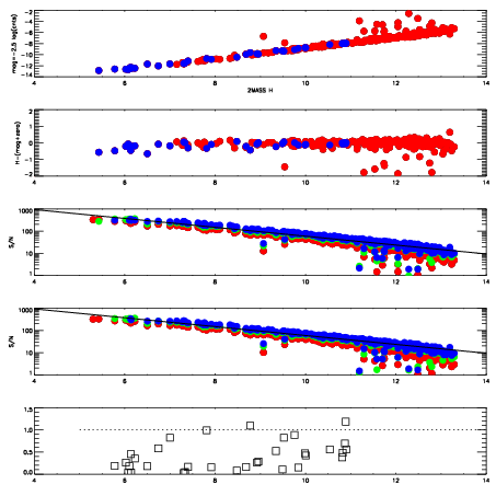
4290048
RedGreenBlue
z18.98
znorm14.80
sky 14.7 14.5 14.8
S/N 14.5 24.4 26.7
S/N(c) 12.6 21.7 24.5
SN(E/C) 0.37
4290049
RedGreenBlue
z18.99
znorm14.81
sky 14.9 14.6 14.9
S/N 14.5 24.8 27.1
S/N(c) 12.5 22.0 24.9
SN(E/C) 0.36
4290050
RedGreenBlue
z19.00
znorm14.82
sky 15.1 14.6 14.8
S/N 14.8 24.8 27.2
S/N(c) 12.5 22.2 25.0
SN(E/C) 0.36
4290051
RedGreenBlue
z18.97
znorm14.79
sky 15.1 14.6 14.8
S/N 14.4 23.8 26.9
S/N(c) 12.1 21.4 24.8
SN(E/C) 0.36
4290052
RedGreenBlue
z19.01
znorm14.83
sky 15.1 14.7 14.9
S/N 14.5 24.7 27.3
S/N(c) 12.4 22.0 25.4
SN(E/C) 0.36