PLATE: 5621 MJD: 55999 FIELD: 221+84

FrameCartsec zseeingNreadsDitherPixshiftZerosky continuumS/NS/N(c)
4370010 8 1.07 1.43 47 0.00 -0.00 19.15 [14.44,14.24,14.29] [ 17.4, 27.6, 29.4] [ 15.0, 25.1, 27.8]
4370011 8 1.06 1.42 47 0.45 -0.00 19.19 [14.51,14.46,14.64] [ 17.3, 28.0, 29.9] [ 15.4, 25.3, 28.3]
4370012 8 1.05 1.36 47 0.45 0.00 19.21 [14.57,14.49,14.63] [ 17.5, 28.0, 30.2] [ 15.2, 25.3, 28.5]
4370013 8 1.04 1.34 47 0.04 -0.00 19.22 [14.63,14.53,14.67] [ 17.3, 28.1, 30.0] [ 15.2, 25.3, 28.4]
4370014 8 1.03 1.34 47 0.03 0.00 19.21 [14.90,14.56,14.75] [ 17.1, 27.9, 29.9] [ 15.3, 25.1, 28.1]
4370015 8 1.02 1.45 47 0.44 -0.00 19.20 [14.73,14.61,14.78] [ 17.3, 28.1, 30.1] [ 15.2, 25.3, 28.2]
4370016 8 1.02 1.35 47 0.44 -0.00 19.22 [14.66,14.53,14.72] [ 17.5, 28.2, 30.2] [ 15.4, 25.4, 28.4]
4370017 8 1.01 1.33 47 0.04 -0.00 19.24 [14.88,14.64,14.83] [ 17.6, 28.5, 30.6] [ 15.6, 25.6, 28.7]

IPAIRNAMESHIFTNEWSHIFTS/N NAMESHIFTNEWSHIFTS/N
0 04370012 0.452 0.000 277.29 04370014 0.033 0.418 277.97
1 04370016 0.442 0.009 276.73 04370017 0.036 0.416 277.66
2 04370011 0.446 0.006 276.23 04370010 0.000 0.452 277.40
3 04370015 0.436 0.016 275.93 04370013 0.040 0.412 276.82

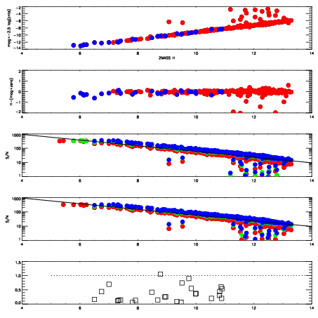
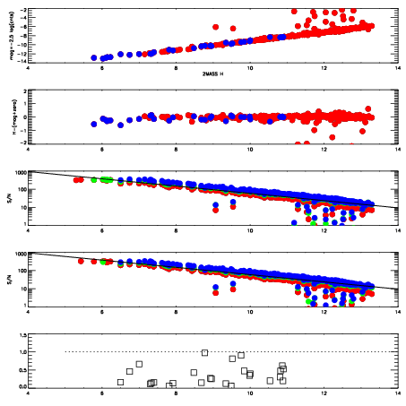
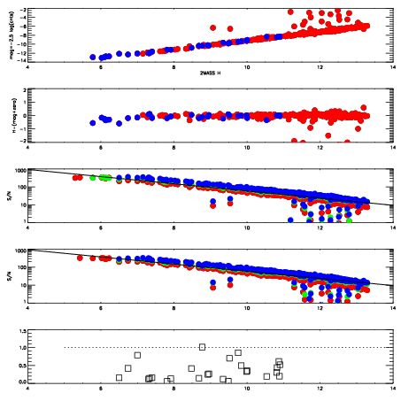
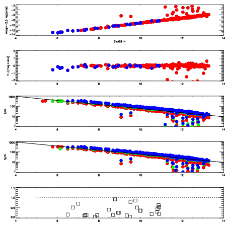
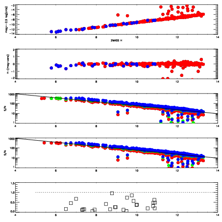
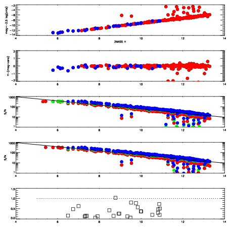
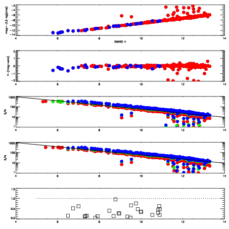
Visit (multiple exposure and dither combined) spectra

FrameZeropointsMag plots Spatial mag deviation Spatial sky 16325A emission deviations (filled: sky, open: star) Spatial sky continuum emission Spatial sky telluric CO2 absorption deviations (filled: H < 10)
4370010
RedGreenBlue
z19.15
znorm14.97
sky 14.4 14.2 14.3
S/N 17.4 27.6 29.4
S/N(c) 15.0 25.1 27.8
SN(E/C) 0.28
4370011
RedGreenBlue
z19.19
znorm15.01
sky 14.5 14.5 14.6
S/N 17.3 28.0 29.9
S/N(c) 15.4 25.3 28.3
SN(E/C) 0.30
4370012
RedGreenBlue
z19.21
znorm15.03
sky 14.6 14.5 14.6
S/N 17.5 28.0 30.2
S/N(c) 15.2 25.3 28.5
SN(E/C) 0.30
4370013
RedGreenBlue
z19.22
znorm15.04
sky 14.6 14.5 14.7
S/N 17.3 28.1 30.0
S/N(c) 15.2 25.3 28.4
SN(E/C) 0.30
4370014
RedGreenBlue
z19.21
znorm15.03
sky 14.9 14.6 14.8
S/N 17.1 27.9 29.9
S/N(c) 15.3 25.1 28.1
SN(E/C) 0.30
4370015
RedGreenBlue
z19.20
znorm15.02
sky 14.7 14.6 14.8
S/N 17.3 28.1 30.1
S/N(c) 15.2 25.3 28.2
SN(E/C) 0.30
4370016
RedGreenBlue
z19.22
znorm15.04
sky 14.7 14.5 14.7
S/N 17.5 28.2 30.2
S/N(c) 15.4 25.4 28.4
SN(E/C) 0.30
4370017
RedGreenBlue
z19.24
znorm15.06
sky 14.9 14.6 14.8
S/N 17.6 28.5 30.6
S/N(c) 15.6 25.6 28.7
SN(E/C) 0.30