PLATE: 5622 MJD: 55998 FIELD: 221+84

FrameCartsec zseeingNreadsDitherPixshiftZerosky continuumS/NS/N(c)
4360010 1 1.19 2.81 47 0.00 0.00 18.55 [14.71,14.36,14.20] [ 11.0, 18.8, 18.5] [ 9.0, 16.3, 17.5]
4360011 1 1.16 2.14 47 0.45 -0.00 18.65 [14.70,14.50,14.54] [ 11.3, 19.5, 19.2] [ 9.4, 17.0, 18.4]
4360012 1 1.14 1.92 47 0.45 0.00 18.66 [14.73,14.58,14.64] [ 11.5, 19.7, 19.8] [ 9.6, 17.1, 18.8]
4360013 1 1.12 2.33 47 0.01 -0.00 18.71 [14.78,14.64,14.67] [ 11.7, 20.1, 20.4] [ 9.9, 17.3, 19.3]
4360014 1 1.11 1.89 47 0.01 0.00 18.63 [14.76,14.62,14.68] [ 11.5, 19.3, 20.2] [ 9.2, 17.2, 19.1]
4360015 1 1.09 1.90 47 0.45 0.00 18.87 [14.73,14.68,14.67] [ 12.8, 21.3, 22.2] [ 10.9, 18.6, 21.4]
4360016 1 1.08 1.75 47 0.45 -0.00 18.92 [14.76,14.78,14.69] [ 13.5, 22.5, 23.0] [ 11.9, 19.7, 22.0]
4360017 1 1.07 1.80 47 0.01 0.00 18.73 [14.87,14.83,14.86] [ 11.8, 20.5, 20.9] [ 10.4, 17.6, 19.8]

IPAIRNAMESHIFTNEWSHIFTS/N NAMESHIFTNEWSHIFTS/N
0 04360012 0.454 0.000 215.97 04360014 0.008 0.446 212.26
1 04360016 0.448 0.006 242.84 04360013 0.012 0.443 224.31
2 04360015 0.447 0.008 239.53 04360017 0.011 0.443 224.02
3 04360011 0.453 0.001 215.05 04360010 0.000 0.454 205.12

Visit (multiple exposure and dither combined) spectra

FrameZeropointsMag plots Spatial mag deviation Spatial sky 16325A emission deviations (filled: sky, open: star) Spatial sky continuum emission Spatial sky telluric CO2 absorption deviations (filled: H < 10)
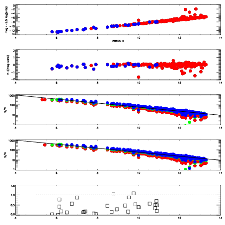
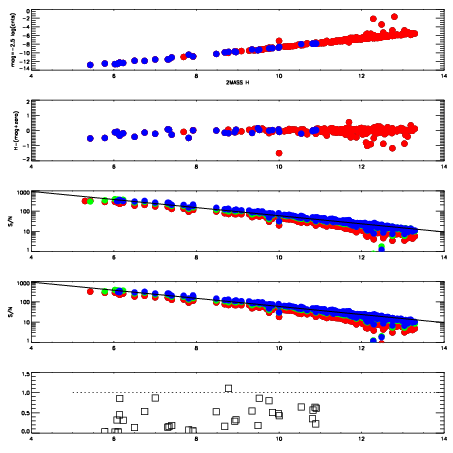
4360010
RedGreenBlue
z18.55
znorm14.37
sky 14.7 14.4 14.2
S/N 11.0 18.8 18.5
S/N(c) 9.0 16.3 17.5
SN(E/C) 0.40
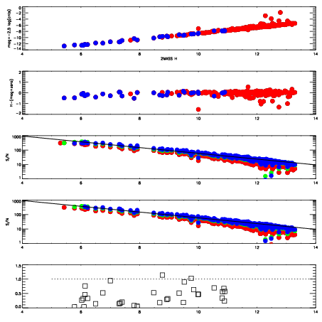
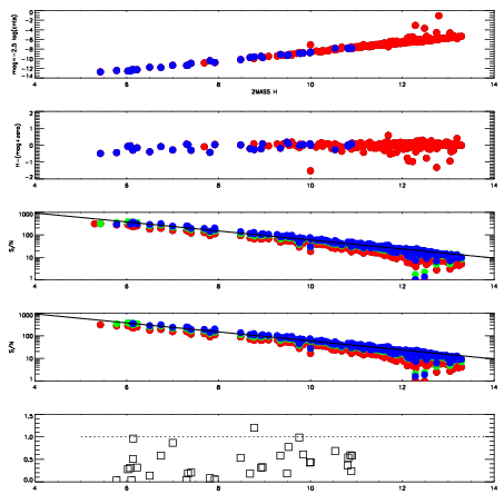
4360011
RedGreenBlue
z18.65
znorm14.47
sky 14.7 14.5 14.5
S/N 11.3 19.5 19.2
S/N(c) 9.4 17.0 18.4
SN(E/C) 0.34
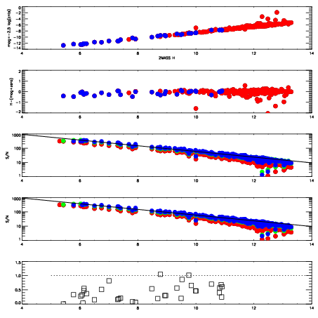
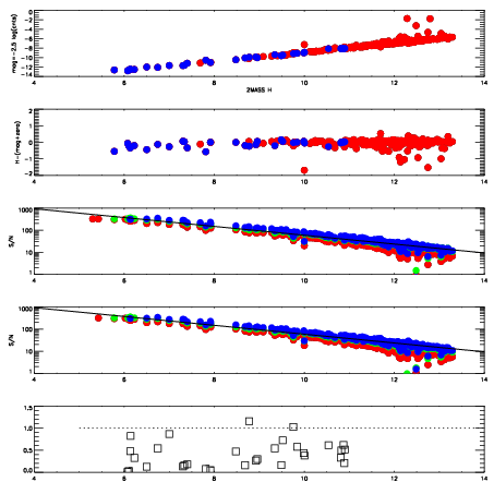
4360012
RedGreenBlue
z18.66
znorm14.48
sky 14.7 14.6 14.6
S/N 11.5 19.7 19.8
S/N(c) 9.6 17.1 18.8
SN(E/C) 0.32
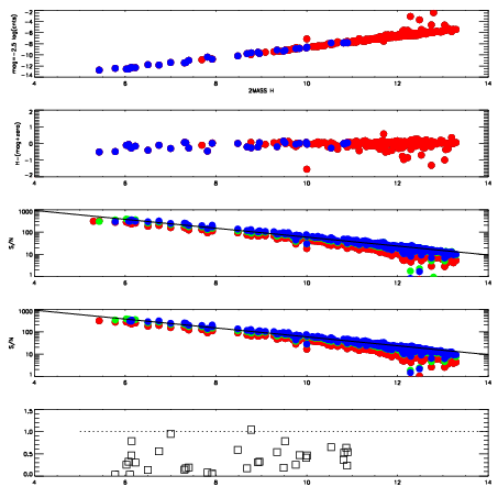
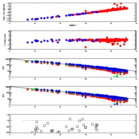
4360013
RedGreenBlue
z18.71
znorm14.53
sky 14.8 14.6 14.7
S/N 11.7 20.1 20.4
S/N(c) 9.9 17.3 19.3
SN(E/C) 0.37
4360014
RedGreenBlue
z18.63
znorm14.45
sky 14.8 14.6 14.7
S/N 11.5 19.3 20.2
S/N(c) 9.2 17.2 19.1
SN(E/C) 0.36
4360015
RedGreenBlue
z18.87
znorm14.69
sky 14.7 14.7 14.7
S/N 12.8 21.3 22.2
S/N(c) 10.9 18.6 21.4
SN(E/C) 0.39
4360016
RedGreenBlue
z18.92
znorm14.74
sky 14.8 14.8 14.7
S/N 13.5 22.5 23.0
S/N(c) 11.9 19.7 22.0
SN(E/C) 0.38
4360017
RedGreenBlue
z18.73
znorm14.55
sky 14.9 14.8 14.9
S/N 11.8 20.5 20.9
S/N(c) 10.4 17.6 19.8
SN(E/C) 0.35