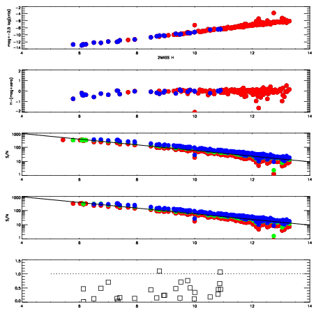
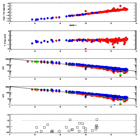
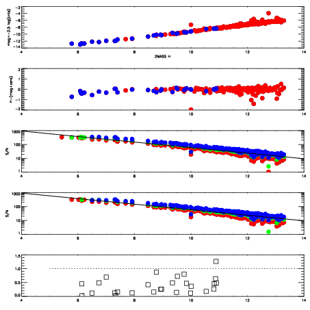
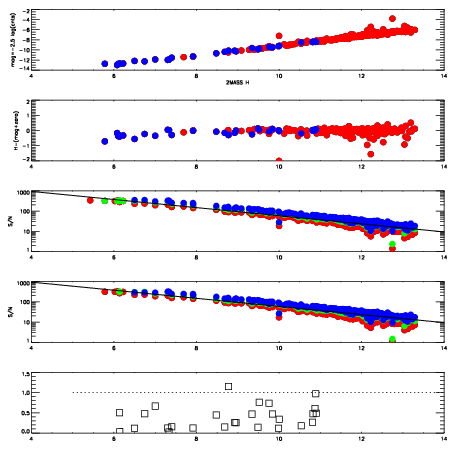
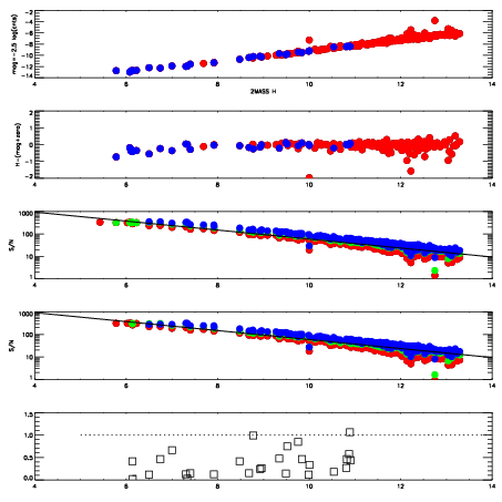
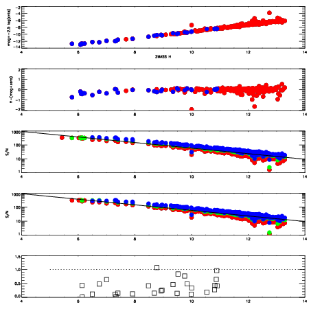
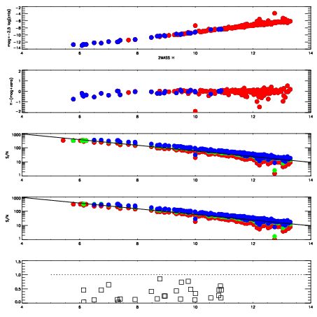
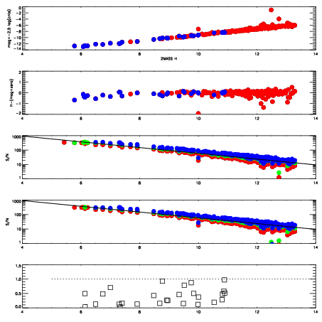
| Frame | Nreads | Zeropoints | Mag plots
| Spatial mag deviation
| Spatial sky 16325A emission deviations (filled: sky, open: star)
| Spatial sky continuum emission
| Spatial sky telluric CO2 absorption deviations (filled: H < 10)
|
| 4560036
| 47
| | Red | Green | Blue
| | z | | 19.18
| | znorm | | 15.00
| | sky | 14.9 | 14.4 | 14.4
| | S/N | 16.2 | 26.3 | 28.8
| | S/N(c) | 14.4 | 23.9 | 27.2
| | SN(E/C) | 0.37
|
|
|
|
|
|
|
| 4560037
| 47
| | Red | Green | Blue
| | z | | 19.22
| | znorm | | 15.04
| | sky | 14.5 | 14.4 | 14.9
| | S/N | 16.4 | 27.1 | 29.8
| | S/N(c) | 14.9 | 24.7 | 28.0
| | SN(E/C) | 0.36
|
|
|
|
|
|
|
| 4560038
| 47
| | Red | Green | Blue
| | z | | 19.22
| | znorm | | 15.04
| | sky | 14.9 | 14.5 | 14.8
| | S/N | 16.6 | 26.9 | 29.4
| | S/N(c) | 15.0 | 24.5 | 27.8
| | SN(E/C) | 0.34
|
|
|
|
|
|
|
| 4560039
| 47
| | Red | Green | Blue
| | z | | 19.25
| | znorm | | 15.07
| | sky | 14.6 | 14.5 | 14.8
| | S/N | 16.6 | 27.1 | 29.6
| | S/N(c) | 14.8 | 24.9 | 27.9
| | SN(E/C) | 0.34
|
|
|
|
|
|
|
| 4560040
| 47
| | Red | Green | Blue
| | z | | 19.24
| | znorm | | 15.06
| | sky | 14.8 | 14.5 | 14.9
| | S/N | 16.8 | 26.9 | 29.5
| | S/N(c) | 14.9 | 25.1 | 27.8
| | SN(E/C) | 0.34
|
|
|
|
|
|
|
| 4560041
| 47
| | Red | Green | Blue
| | z | | 19.24
| | znorm | | 15.06
| | sky | 14.5 | 14.5 | 14.8
| | S/N | 16.9 | 27.2 | 29.7
| | S/N(c) | 15.0 | 25.0 | 27.8
| | SN(E/C) | 0.33
|
|
|
|
|
|
|
| 4560042
| 47
| | Red | Green | Blue
| | z | | 19.24
| | znorm | | 15.06
| | sky | 14.6 | 14.5 | 14.8
| | S/N | 16.3 | 27.1 | 29.7
| | S/N(c) | 14.7 | 24.9 | 27.9
| | SN(E/C) | 0.27
|
|
|
|
|
|
|
| 4560043
| 47
| | Red | Green | Blue
| | z | | 19.23
| | znorm | | 15.05
| | sky | 14.8 | 14.6 | 14.9
| | S/N | 16.5 | 26.9 | 29.4
| | S/N(c) | 14.6 | 24.7 | 27.4
| | SN(E/C) | 0.34
|
|
|
|
|
|
|