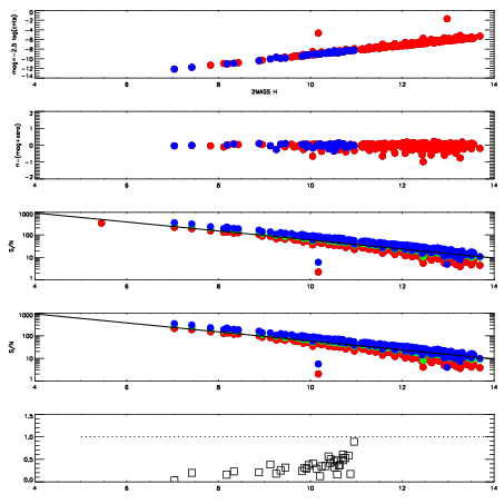
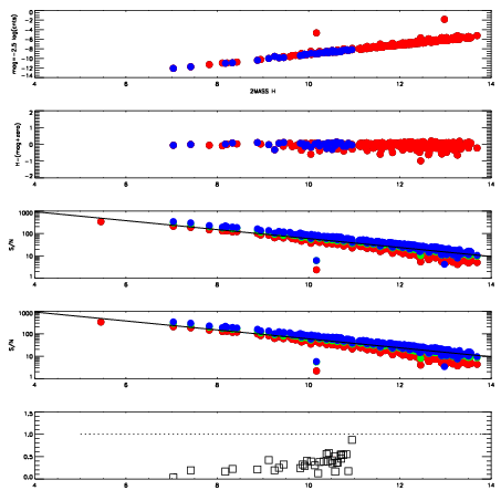
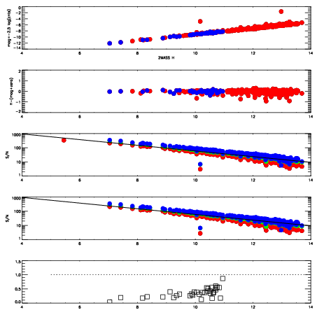
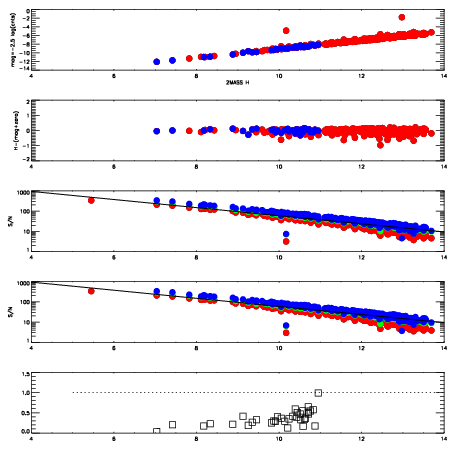
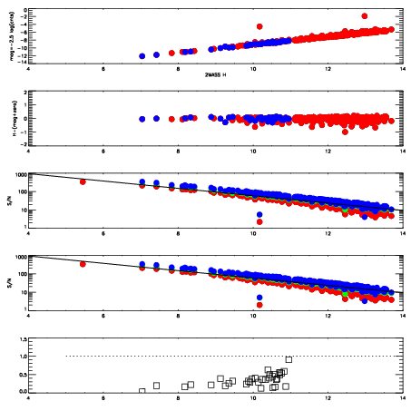
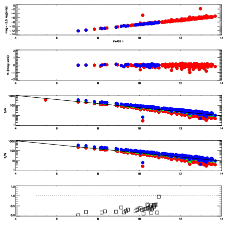
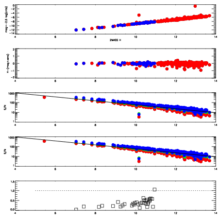
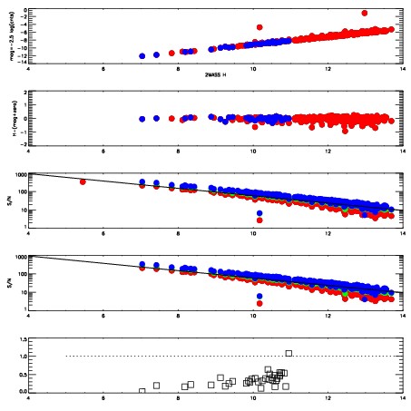
| Frame | Nreads | Zeropoints | Mag plots
| Spatial mag deviation
| Spatial sky 16325A emission deviations (filled: sky, open: star)
| Spatial sky continuum emission
| Spatial sky telluric CO2 absorption deviations (filled: H < 10)
|
| 4560047
| 47
| | Red | Green | Blue
| | z | | 19.15
| | znorm | | 14.97
| | sky | 15.4 | 14.8 | 14.9
| | S/N | 15.6 | 26.4 | 29.3
| | S/N(c) | 13.6 | 24.6 | 27.8
| | SN(E/C) | 0.35
|
|
|
|
|
|
|
| 4560048
| 47
| | Red | Green | Blue
| | z | | 19.16
| | znorm | | 14.98
| | sky | 14.9 | 14.9 | 15.4
| | S/N | 15.6 | 26.8 | 29.5
| | S/N(c) | 13.7 | 24.8 | 27.8
| | SN(E/C) | 0.37
|
|
|
|
|
|
|
| 4560049
| 47
| | Red | Green | Blue
| | z | | 19.16
| | znorm | | 14.98
| | sky | 15.3 | 14.9 | 15.5
| | S/N | 15.5 | 26.8 | 29.7
| | S/N(c) | 13.7 | 24.9 | 27.9
| | SN(E/C) | 0.35
|
|
|
|
|
|
|
| 4560050
| 47
| | Red | Green | Blue
| | z | | 19.17
| | znorm | | 14.99
| | sky | 15.1 | 15.0 | 15.7
| | S/N | 15.4 | 26.7 | 29.9
| | S/N(c) | 13.5 | 24.8 | 28.0
| | SN(E/C) | 0.34
|
|
|
|
|
|
|
| 4560051
| 47
| | Red | Green | Blue
| | z | | 19.19
| | znorm | | 15.01
| | sky | 15.0 | 15.2 | 15.9
| | S/N | 15.9 | 27.3 | 30.4
| | S/N(c) | 14.0 | 25.3 | 28.6
| | SN(E/C) | 0.35
|
|
|
|
|
|
|
| 4560052
| 47
| | Red | Green | Blue
| | z | | 19.14
| | znorm | | 14.96
| | sky | 15.1 | 15.0 | 15.7
| | S/N | 15.4 | 26.2 | 29.5
| | S/N(c) | 13.3 | 24.6 | 27.8
| | SN(E/C) | 0.35
|
|
|
|
|
|
|
| 4560053
| 47
| | Red | Green | Blue
| | z | | 19.15
| | znorm | | 14.97
| | sky | 15.1 | 15.1 | 15.6
| | S/N | 15.2 | 26.1 | 29.5
| | S/N(c) | 13.3 | 24.7 | 27.8
| | SN(E/C) | 0.37
|
|
|
|
|
|
|
| 4560054
| 47
| | Red | Green | Blue
| | z | | 19.18
| | znorm | | 15.00
| | sky | 15.1 | 15.2 | 15.6
| | S/N | 15.3 | 26.4 | 30.0
| | S/N(c) | 13.4 | 24.9 | 28.4
| | SN(E/C) | 0.36
|
|
|
|
|
|
|