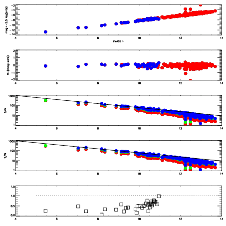
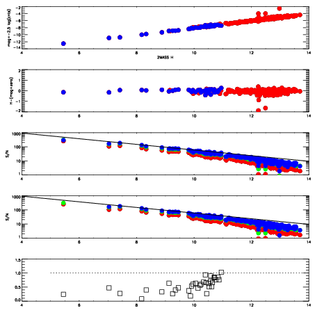
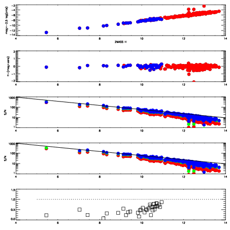
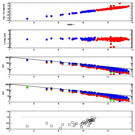
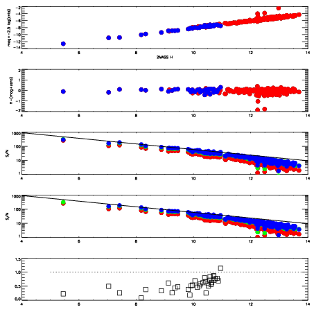
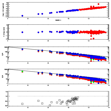
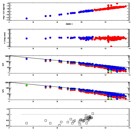
| Frame | Nreads | Zeropoints | Mag plots
| Spatial mag deviation
| Spatial sky 16325A emission deviations (filled: sky, open: star)
| Spatial sky continuum emission
| Spatial sky telluric CO2 absorption deviations (filled: H < 10)
|
| 5170011
| 47
| | Red | Green | Blue
| | z | | 18.16
| | znorm | | 13.98
| | sky | 14.2 | 13.9 | 13.8
| | S/N | 8.7 | 15.4 | 15.0
| | S/N(c) | 7.4 | 14.0 | 14.0
| | SN(E/C) | 0.53
|
|
|
|
|
|
|
| 5170012
| 47
| | Red | Green | Blue
| | z | | 18.14
| | znorm | | 13.96
| | sky | 14.1 | 14.1 | 14.0
| | S/N | 8.4 | 14.8 | 14.6
| | S/N(c) | 7.2 | 13.4 | 13.6
| | SN(E/C) | 0.53
|
|
|
|
|
|
|
| 5170013
| 47
| | Red | Green | Blue
| | z | | 18.13
| | znorm | | 13.95
| | sky | 14.1 | 14.0 | 14.0
| | S/N | 8.4 | 14.4 | 14.6
| | S/N(c) | 7.2 | 13.0 | 13.6
| | SN(E/C) | 0.56
|
|
|
|
|
|
|
| 5170014
| 47
| | Red | Green | Blue
| | z | | 18.33
| | znorm | | 14.15
| | sky | 14.1 | 14.0 | 14.0
| | S/N | 9.7 | 16.7 | 16.8
| | S/N(c) | 8.4 | 15.2 | 15.6
| | SN(E/C) | 0.50
|
|
|
|
|
|
|
| 5170015
| 47
| | Red | Green | Blue
| | z | | 18.33
| | znorm | | 14.15
| | sky | 14.1 | 14.0 | 14.0
| | S/N | 9.7 | 16.6 | 16.7
| | S/N(c) | 8.4 | 15.2 | 15.6
| | SN(E/C) | 0.51
|
|
|
|
|
|
|
| 5170016
| 47
| | Red | Green | Blue
| | z | | 18.11
| | znorm | | 13.93
| | sky | 14.1 | 14.0 | 14.1
| | S/N | 7.7 | 14.0 | 14.0
| | S/N(c) | 6.7 | 12.6 | 13.0
| | SN(E/C) | 0.60
|
|
|
|
|
|
|
| 5170017
| 47
| | Red | Green | Blue
| | z | | 18.20
| | znorm | | 14.02
| | sky | 14.2 | 14.0 | 14.1
| | S/N | 8.9 | 15.4 | 15.4
| | S/N(c) | 7.8 | 14.0 | 14.2
| | SN(E/C) | 0.52
|
|
|
|
|
|
|
| 5170018
| 47
| | Red | Green | Blue
| | z | | 18.08
| | znorm | | 13.90
| | sky | 14.0 | 13.9 | 13.9
| | S/N | 7.9 | 13.8 | 13.6
| | S/N(c) | 6.8 | 12.4 | 12.6
| | SN(E/C) | 0.57
|
|
|
|
|
|
|