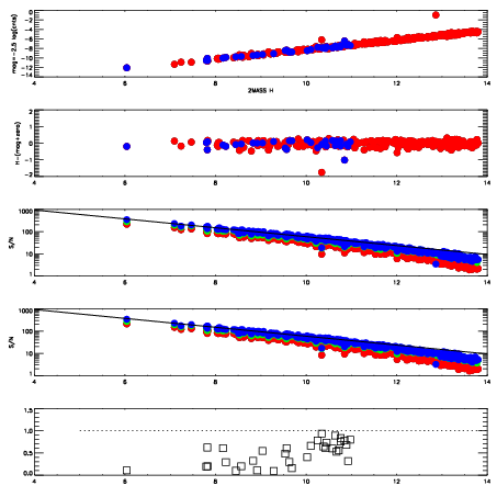
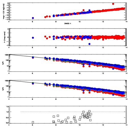
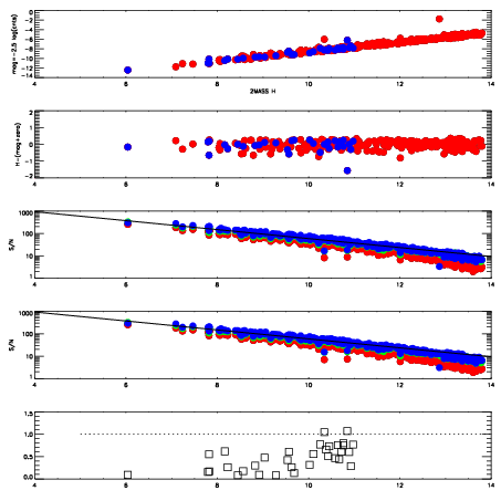
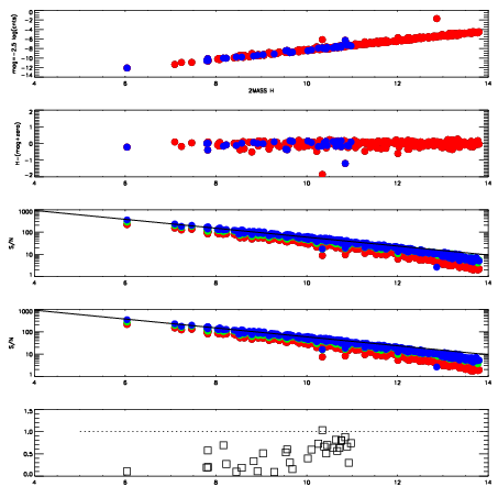
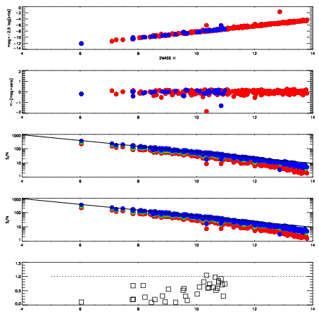
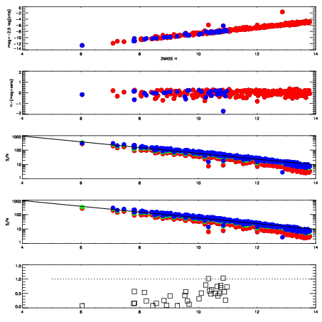
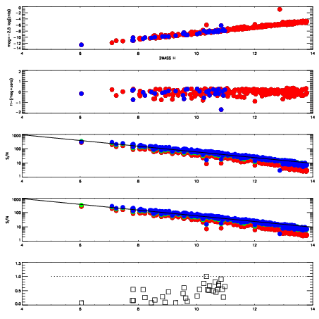
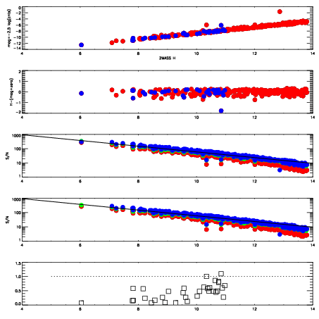
| Frame | Nreads | Zeropoints | Mag plots
| Spatial mag deviation
| Spatial sky 16325A emission deviations (filled: sky, open: star)
| Spatial sky continuum emission
| Spatial sky telluric CO2 absorption deviations (filled: H < 10)
|
| 4570025
| 47
| | Red | Green | Blue
| | z | | 18.69
| | znorm | | 14.51
| | sky | 14.8 | 14.5 | 14.4
| | S/N | 13.0 | 20.8 | 22.1
| | S/N(c) | 11.1 | 19.3 | 21.0
| | SN(E/C) | 0.49
|
|
|
|
|
|
|
| 4570026
| 47
| | Red | Green | Blue
| | z | | 18.62
| | znorm | | 14.44
| | sky | 14.8 | 14.9 | 15.1
| | S/N | 11.9 | 20.0 | 21.6
| | S/N(c) | 10.1 | 18.5 | 20.5
| | SN(E/C) | 0.48
|
|
|
|
|
|
|
| 4570027
| 47
| | Red | Green | Blue
| | z | | 18.75
| | znorm | | 14.57
| | sky | 14.8 | 15.0 | 15.1
| | S/N | 12.9 | 21.4 | 23.0
| | S/N(c) | 11.4 | 20.0 | 21.9
| | SN(E/C) | 0.48
|
|
|
|
|
|
|
| 4570028
| 47
| | Red | Green | Blue
| | z | | 18.71
| | znorm | | 14.53
| | sky | 14.8 | 14.9 | 15.1
| | S/N | 12.7 | 21.4 | 22.4
| | S/N(c) | 10.8 | 19.7 | 21.2
| | SN(E/C) | 0.48
|
|
|
|
|
|
|
| 4570029
| 47
| | Red | Green | Blue
| | z | | 18.57
| | znorm | | 14.39
| | sky | 14.9 | 14.8 | 15.1
| | S/N | 11.4 | 19.8 | 20.4
| | S/N(c) | 9.7 | 18.2 | 19.3
| | SN(E/C) | 0.52
|
|
|
|
|
|
|
| 4570030
| 47
| | Red | Green | Blue
| | z | | 18.29
| | znorm | | 14.11
| | sky | 15.1 | 15.1 | 15.3
| | S/N | 8.8 | 15.6 | 16.8
| | S/N(c) | 7.7 | 14.4 | 15.7
| | SN(E/C) | 0.55
|
|
|
|
|
|
|
| 4570031
| 47
| | Red | Green | Blue
| | z | | 18.29
| | znorm | | 14.11
| | sky | 15.0 | 15.0 | 15.2
| | S/N | 9.2 | 16.7 | 18.0
| | S/N(c) | 8.0 | 14.9 | 17.0
| | SN(E/C) | 0.58
|
|
|
|
|
|
|
| 4570032
| 47
| | Red | Green | Blue
| | z | | 18.33
| | znorm | | 14.15
| | sky | 15.1 | 15.0 | 15.2
| | S/N | 9.2 | 17.0 | 17.5
| | S/N(c) | 7.9 | 15.4 | 16.7
| | SN(E/C) | 0.56
|
|
|
|
|
|
|