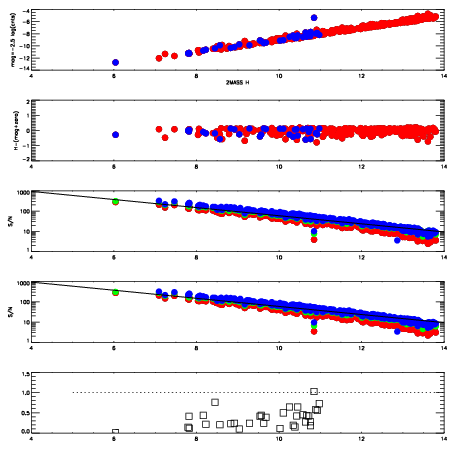
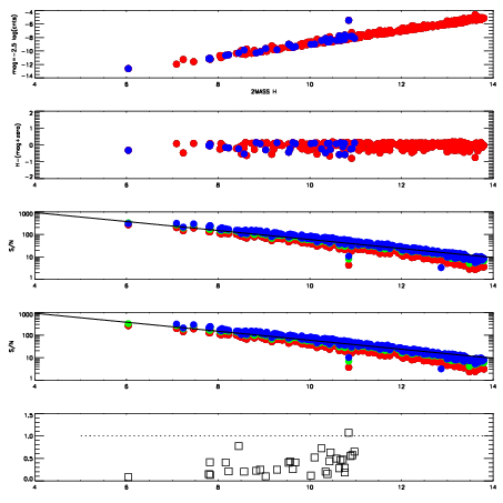
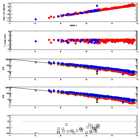
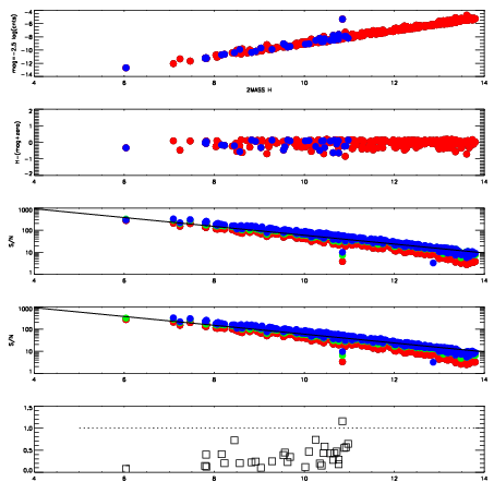
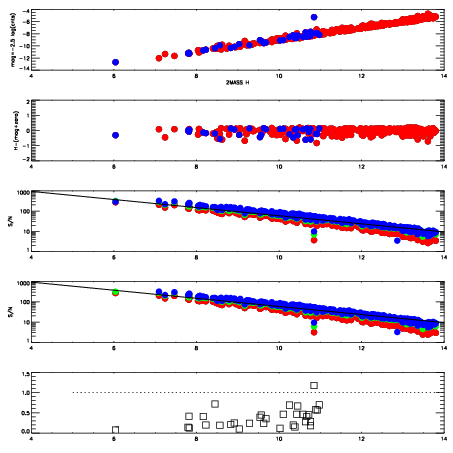
| Frame | Nreads | Zeropoints | Mag plots
| Spatial mag deviation
| Spatial sky 16325A emission deviations (filled: sky, open: star)
| Spatial sky continuum emission
| Spatial sky telluric CO2 absorption deviations (filled: H < 10)
|
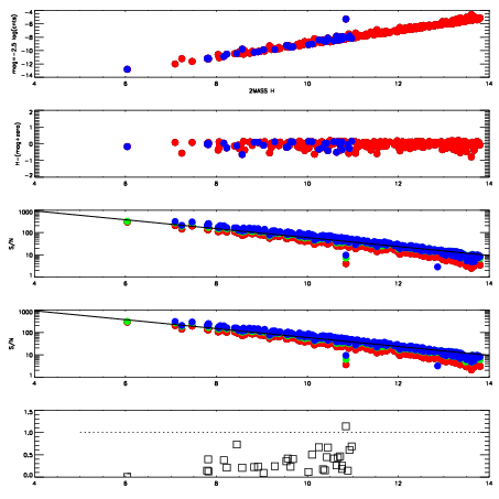
| 5180011
| 47
| | Red | Green | Blue
| | z | | 19.01
| | znorm | | 14.83
| | sky | 13.5 | 13.4 | 13.4
| | S/N | 14.4 | 24.2 | 24.1
| | S/N(c) | 12.8 | 21.9 | 22.8
| | SN(E/C) | 0.26
|
|
|
|
|
|
|
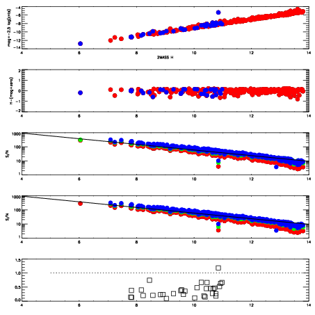
| 5180012
| 47
| | Red | Green | Blue
| | z | | 19.00
| | znorm | | 14.82
| | sky | 13.7 | 13.6 | 13.6
| | S/N | 14.3 | 24.1 | 24.3
| | S/N(c) | 12.8 | 22.1 | 22.9
| | SN(E/C) | 0.37
|
|
|
|
|
|
|
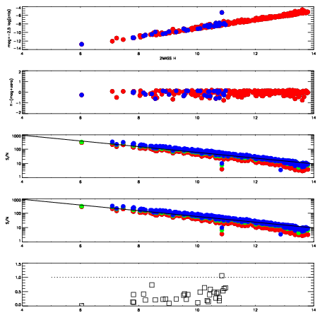
| 5180013
| 47
| | Red | Green | Blue
| | z | | 19.00
| | znorm | | 14.82
| | sky | 13.6 | 13.6 | 13.6
| | S/N | 14.2 | 23.9 | 24.1
| | S/N(c) | 12.5 | 21.7 | 22.7
| | SN(E/C) | 0.38
|
|
|
|
|
|
|
| 5180014
| 47
| | Red | Green | Blue
| | z | | 19.05
| | znorm | | 14.87
| | sky | 13.7 | 13.7 | 13.7
| | S/N | 14.3 | 24.8 | 25.1
| | S/N(c) | 12.8 | 22.8 | 23.7
| | SN(E/C) | 0.37
|
|
|
|
|
|
|
| 5180015
| 47
| | Red | Green | Blue
| | z | | 19.04
| | znorm | | 14.86
| | sky | 13.7 | 13.7 | 13.8
| | S/N | 14.0 | 24.4 | 25.2
| | S/N(c) | 12.6 | 22.1 | 23.6
| | SN(E/C) | 0.39
|
|
|
|
|
|
|
| 5180016
| 47
| | Red | Green | Blue
| | z | | 19.03
| | znorm | | 14.85
| | sky | 13.8 | 13.7 | 13.8
| | S/N | 14.2 | 24.1 | 25.4
| | S/N(c) | 12.6 | 22.1 | 23.9
| | SN(E/C) | 0.35
|
|
|
|
|
|
|
| 5180017
| 47
| | Red | Green | Blue
| | z | | 19.05
| | znorm | | 14.87
| | sky | 13.8 | 13.7 | 13.7
| | S/N | 14.1 | 24.2 | 25.4
| | S/N(c) | 12.7 | 22.2 | 23.8
| | SN(E/C) | 0.34
|
|
|
|
|
|
|
| 5180018
| 47
| | Red | Green | Blue
| | z | | 18.97
| | znorm | | 14.79
| | sky | 13.8 | 13.7 | 13.8
| | S/N | 13.4 | 22.9 | 24.4
| | S/N(c) | 11.8 | 20.9 | 22.9
| | SN(E/C) | 0.41
|
|
|
|
|
|
|