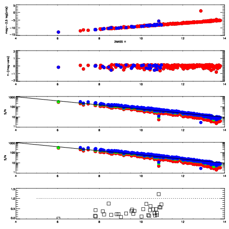
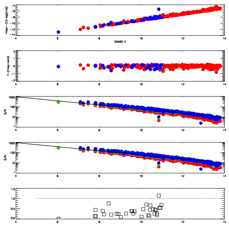
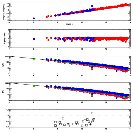
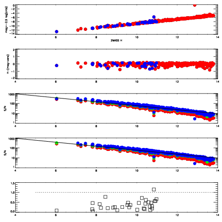
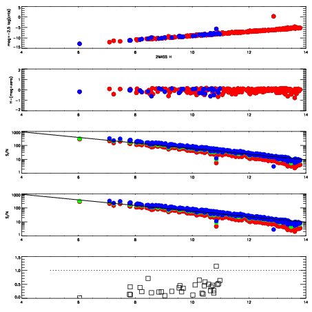
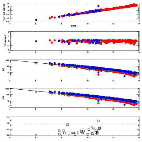
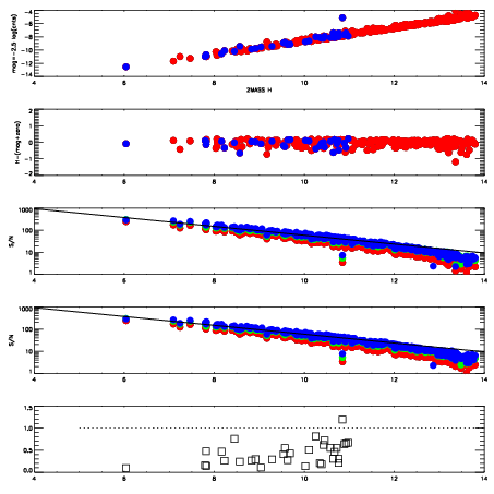
| Frame | Nreads | Zeropoints | Mag plots
| Spatial mag deviation
| Spatial sky 16325A emission deviations (filled: sky, open: star)
| Spatial sky continuum emission
| Spatial sky telluric CO2 absorption deviations (filled: H < 10)
|
| 5190011
| 47
| | Red | Green | Blue
| | z | | 18.98
| | znorm | | 14.80
| | sky | 13.8 | 13.6 | 13.6
| | S/N | 14.8 | 24.2 | 24.6
| | S/N(c) | 13.1 | 22.5 | 23.2
| | SN(E/C) | 0.37
|
|
|
|
|
|
|
| 5190012
| 47
| | Red | Green | Blue
| | z | | 19.01
| | znorm | | 14.83
| | sky | 13.8 | 13.8 | 13.9
| | S/N | 14.6 | 24.1 | 24.7
| | S/N(c) | 13.0 | 22.6 | 23.3
| | SN(E/C) | 0.34
|
|
|
|
|
|
|
| 5190013
| 47
| | Red | Green | Blue
| | z | | 18.65
| | znorm | | 14.47
| | sky | 13.0 | 13.0 | 13.0
| | S/N | 10.8 | 18.1 | 17.9
| | S/N(c) | 9.5 | 16.9 | 18.0
| | SN(E/C) | 0.41
|
|
|
|
|
|
|
| 5190014
| 47
| | Red | Green | Blue
| | z | | 18.96
| | znorm | | 14.78
| | sky | 13.8 | 13.8 | 13.9
| | S/N | 13.8 | 23.1 | 23.9
| | S/N(c) | 12.3 | 21.6 | 22.7
| | SN(E/C) | 0.37
|
|
|
|
|
|
|
| 5190015
| 47
| | Red | Green | Blue
| | z | | 18.93
| | znorm | | 14.75
| | sky | 13.6 | 13.7 | 13.8
| | S/N | 13.6 | 22.7 | 23.5
| | S/N(c) | 12.2 | 21.1 | 22.2
| | SN(E/C) | 0.30
|
|
|
|
|
|
|
| 5190016
| 47
| | Red | Green | Blue
| | z | | 19.02
| | znorm | | 14.84
| | sky | 13.9 | 13.8 | 13.9
| | S/N | 14.3 | 23.9 | 24.5
| | S/N(c) | 12.6 | 22.3 | 23.1
| | SN(E/C) | 0.36
|
|
|
|
|
|
|
| 5190017
| 47
| | Red | Green | Blue
| | z | | 18.99
| | znorm | | 14.81
| | sky | 13.9 | 13.8 | 13.8
| | S/N | 14.0 | 23.2 | 24.3
| | S/N(c) | 12.4 | 21.4 | 23.1
| | SN(E/C) | 0.28
|
|
|
|
|
|
|
| 5190018
| 47
| | Red | Green | Blue
| | z | | 19.03
| | znorm | | 14.85
| | sky | 13.8 | 13.9 | 14.0
| | S/N | 13.8 | 23.9 | 25.1
| | S/N(c) | 12.6 | 22.2 | 23.7
| | SN(E/C) | 0.37
|
|
|
|
|
|
|