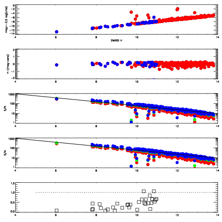
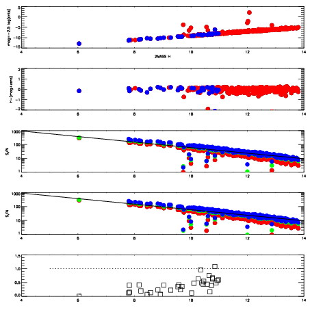
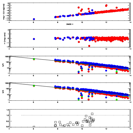
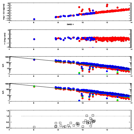
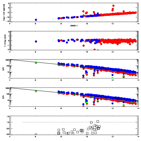
| Frame | Nreads | Zeropoints | Mag plots
| Spatial mag deviation
| Spatial sky 16325A emission deviations (filled: sky, open: star)
| Spatial sky continuum emission
| Spatial sky telluric CO2 absorption deviations (filled: H < 10)
|
| 5200010
| 47
| | Red | Green | Blue
| | z | | 18.94
| | znorm | | 14.76
| | sky | 14.0 | 13.8 | 13.8
| | S/N | 13.9 | 22.4 | 23.6
| | S/N(c) | 11.9 | 20.5 | 22.4
| | SN(E/C) | 0.41
|
|
|
|
|
|
|
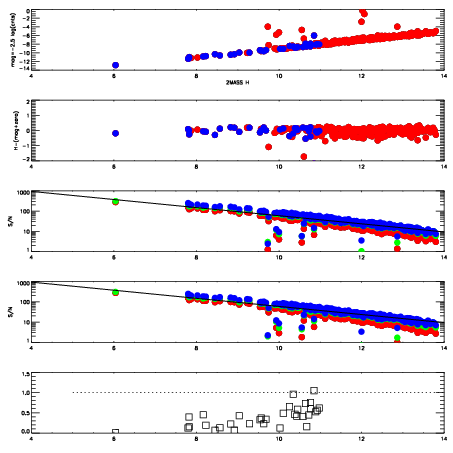
| 5200011
| 47
| | Red | Green | Blue
| | z | | 18.96
| | znorm | | 14.78
| | sky | 14.1 | 14.0 | 14.0
| | S/N | 14.2 | 22.7 | 24.3
| | S/N(c) | 12.2 | 20.7 | 22.9
| | SN(E/C) | 0.42
|
|
|
|
|
|
|
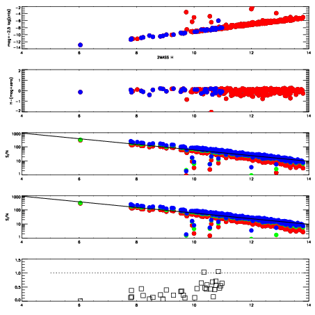
| 5200012
| 47
| | Red | Green | Blue
| | z | | 19.07
| | znorm | | 14.89
| | sky | 14.3 | 14.1 | 14.2
| | S/N | 15.8 | 23.8 | 26.0
| | S/N(c) | 13.5 | 21.8 | 24.2
| | SN(E/C) | 0.40
|
|
|
|
|
|
|
| 5200013
| 47
| | Red | Green | Blue
| | z | | 19.07
| | znorm | | 14.89
| | sky | 14.0 | 14.1 | 14.3
| | S/N | 15.0 | 23.3 | 26.3
| | S/N(c) | 13.4 | 21.4 | 24.5
| | SN(E/C) | 0.40
|
|
|
|
|
|
|
| 5200014
| 47
| | Red | Green | Blue
| | z | | 19.06
| | znorm | | 14.88
| | sky | 14.2 | 14.2 | 14.4
| | S/N | 15.0 | 23.4 | 25.9
| | S/N(c) | 13.2 | 20.8 | 24.0
| | SN(E/C) | 0.40
|
|
|
|
|
|
|
| 5200015
| 47
| | Red | Green | Blue
| | z | | 19.05
| | znorm | | 14.87
| | sky | 14.2 | 14.1 | 14.3
| | S/N | 14.5 | 23.0 | 25.9
| | S/N(c) | 12.9 | 21.0 | 24.1
| | SN(E/C) | 0.39
|
|
|
|
|
|
|
| 5200016
| 47
| | Red | Green | Blue
| | z | | 19.07
| | znorm | | 14.89
| | sky | 14.2 | 14.1 | 14.3
| | S/N | 14.9 | 22.8 | 26.2
| | S/N(c) | 13.2 | 21.4 | 24.4
| | SN(E/C) | 0.38
|
|
|
|
|
|
|
| 5200017
| 47
| | Red | Green | Blue
| | z | | 19.05
| | znorm | | 14.87
| | sky | 14.1 | 14.2 | 14.3
| | S/N | 14.5 | 22.8 | 25.4
| | S/N(c) | 12.7 | 21.3 | 23.7
| | SN(E/C) | 0.41
|
|
|
|
|
|
|