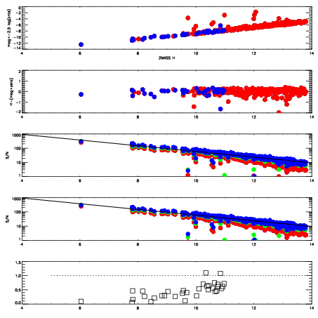
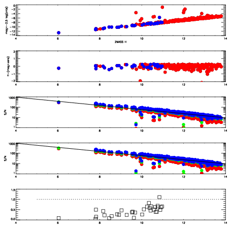
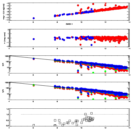
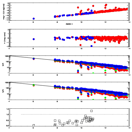
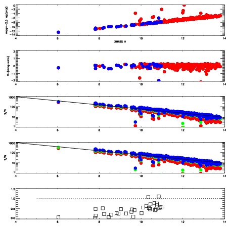
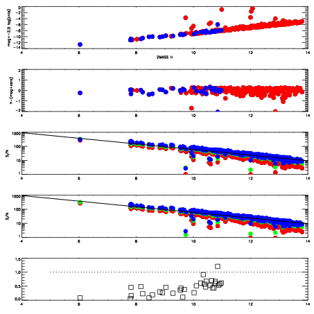
Frame | Nreads | Zeropoints | Mag plots
| Spatial mag deviation
| Spatial sky 16325A emission deviations (filled: sky, open: star)
| Spatial sky continuum emission
| Spatial sky telluric CO2 absorption deviations (filled: H < 10)
|
7920044
| 47
| | Red | Green | Blue
| z | | 18.73
| znorm | | 14.55
| sky | 15.3 | 14.7 | 14.8
| S/N | 11.9 | 20.0 | 23.9
| S/N(c) | 10.4 | 18.3 | 22.5
| SN(E/C) | 0.46
|
|
|
|
|
|
|
7920045
| 47
| | Red | Green | Blue
| z | | 18.77
| znorm | | 14.59
| sky | 15.7 | 15.0 | 15.7
| S/N | 12.1 | 20.5 | 25.1
| S/N(c) | 10.3 | 19.0 | 23.6
| SN(E/C) | 0.47
|
|
|
|
|
|
|
7920046
| 47
| | Red | Green | Blue
| z | | 18.85
| znorm | | 14.67
| sky | 15.7 | 15.3 | 15.8
| S/N | 13.1 | 21.7 | 25.4
| S/N(c) | 11.2 | 20.2 | 24.2
| SN(E/C) | 0.45
|
|
|
|
|
|
|
7920047
| 47
| | Red | Green | Blue
| z | | 18.90
| znorm | | 14.72
| sky | 15.5 | 15.3 | 15.5
| S/N | 13.3 | 22.0 | 25.1
| S/N(c) | 11.4 | 20.5 | 24.1
| SN(E/C) | 0.46
|
|
|
|
|
|
|
7920048
| 47
| | Red | Green | Blue
| z | | 18.81
| znorm | | 14.63
| sky | 15.4 | 15.1 | 15.6
| S/N | 12.8 | 21.3 | 23.2
| S/N(c) | 10.8 | 19.8 | 22.1
| SN(E/C) | 0.47
|
|
|
|
|
|
|
7920049
| 47
| | Red | Green | Blue
| z | | 18.87
| znorm | | 14.69
| sky | 15.4 | 15.4 | 15.6
| S/N | 13.7 | 21.8 | 23.7
| S/N(c) | 11.7 | 20.5 | 22.3
| SN(E/C) | 0.46
|
|
|
|
|
|
|
7920050
| 47
| | Red | Green | Blue
| z | | 18.69
| znorm | | 14.51
| sky | 15.4 | 15.4 | 15.7
| S/N | 12.2 | 20.3 | 21.8
| S/N(c) | 10.4 | 18.5 | 20.7
| SN(E/C) | 0.47
|
|
|
|
|
|
|
7920051
| 47
| | Red | Green | Blue
| z | | 18.97
| znorm | | 14.79
| sky | 15.4 | 15.3 | 15.7
| S/N | 14.6 | 22.8 | 25.5
| S/N(c) | 12.6 | 21.3 | 23.8
| SN(E/C) | 0.42
|
|
|
|
|
|
|