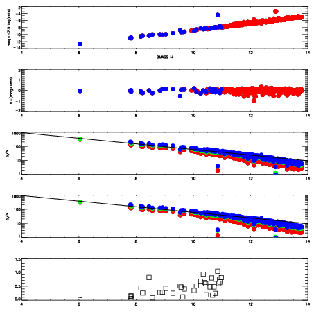
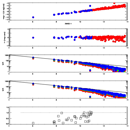
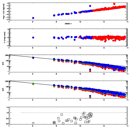
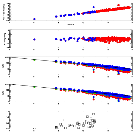
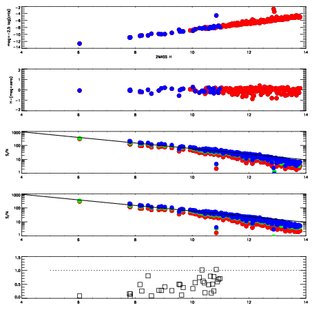
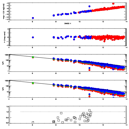
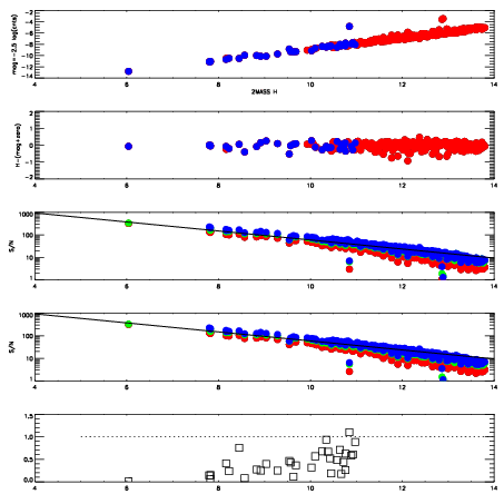
Frame | Nreads | Zeropoints | Mag plots
| Spatial mag deviation
| Spatial sky 16325A emission deviations (filled: sky, open: star)
| Spatial sky continuum emission
| Spatial sky telluric CO2 absorption deviations (filled: H < 10)
|
8180012
| 47
| | Red | Green | Blue
| z | | 18.87
| znorm | | 14.69
| sky | 14.1 | 13.8 | 13.8
| S/N | 13.6 | 22.5 | 23.3
| S/N(c) | 12.0 | 20.7 | 22.0
| SN(E/C) | 0.44
|
|
|
|
|
|
|
8180013
| 47
| | Red | Green | Blue
| z | | 18.94
| znorm | | 14.76
| sky | 13.9 | 13.8 | 13.9
| S/N | 13.7 | 22.1 | 22.7
| S/N(c) | 12.3 | 20.2 | 21.4
| SN(E/C) | 0.40
|
|
|
|
|
|
|
8180014
| 47
| | Red | Green | Blue
| z | | 18.90
| znorm | | 14.72
| sky | 13.6 | 13.5 | 13.5
| S/N | 13.0 | 21.1 | 21.8
| S/N(c) | 11.6 | 19.4 | 20.7
| SN(E/C) | 0.41
|
|
|
|
|
|
|
8180015
| 47
| | Red | Green | Blue
| z | | 18.73
| znorm | | 14.55
| sky | 13.0 | 12.8 | 12.8
| S/N | 11.0 | 17.2 | 18.3
| S/N(c) | 9.4 | 15.2 | 16.9
| SN(E/C) | 0.48
|
|
|
|
|
|
|
8180016
| 47
| | Red | Green | Blue
| z | | 18.69
| znorm | | 14.50
| sky | 12.8 | 12.8 | 12.8
| S/N | 10.5 | 16.3 | 18.0
| S/N(c) | 9.4 | 14.8 | 16.9
| SN(E/C) | 0.45
|
|
|
|
|
|
|
8180017
| 47
| | Red | Green | Blue
| z | | 18.13
| znorm | | 13.95
| sky | 12.2 | 12.2 | 12.2
| S/N | 6.0 | 9.6 | 11.1
| S/N(c) | 5.3 | 8.3 | 10.4
| SN(E/C) | 0.62
|
|
|
|
|
|
|
8180018
| 47
| | Red | Green | Blue
| z | | 18.57
| znorm | | 14.39
| sky | 12.7 | 12.6 | 12.6
| S/N | 9.4 | 14.6 | 16.9
| S/N(c) | 8.4 | 13.2 | 15.7
| SN(E/C) | 0.50
|
|
|
|
|
|
|
8180019
| 47
| | Red | Green | Blue
| z | | 18.79
| znorm | | 14.61
| sky | 13.0 | 12.9 | 12.9
| S/N | 11.3 | 18.0 | 20.1
| S/N(c) | 10.2 | 16.4 | 18.9
| SN(E/C) | 0.43
|
|
|
|
|
|
|