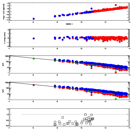
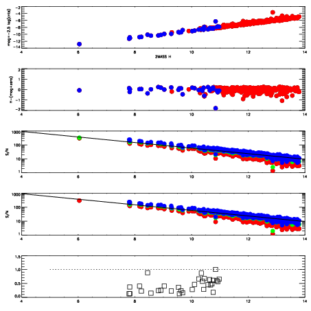
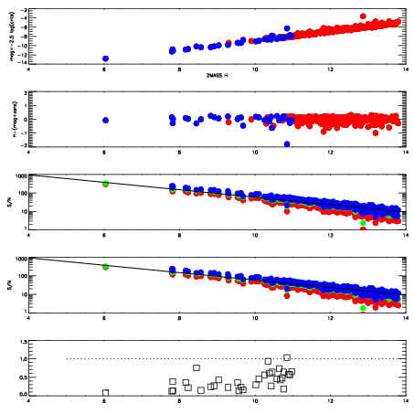
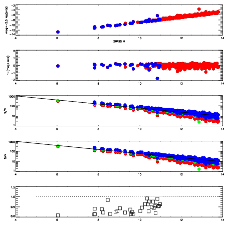
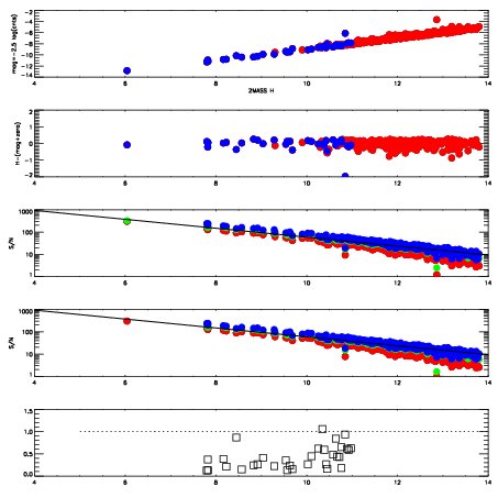
| Frame | Nreads | Zeropoints | Mag plots
| Spatial mag deviation
| Spatial sky 16325A emission deviations (filled: sky, open: star)
| Spatial sky continuum emission
| Spatial sky telluric CO2 absorption deviations (filled: H < 10)
|
| 8420037
| 47
| | Red | Green | Blue
| | z | | 18.86
| | znorm | | 14.68
| | sky | 15.1 | 14.4 | 14.2
| | S/N | 12.3 | 21.1 | 23.5
| | S/N(c) | 10.7 | 19.3 | 22.6
| | SN(E/C) | 0.42
|
|
|
|
|
|
|
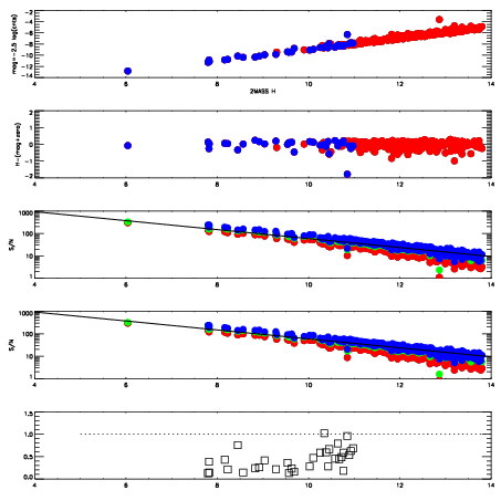
| 8420038
| 47
| | Red | Green | Blue
| | z | | 18.84
| | znorm | | 14.66
| | sky | 14.7 | 14.5 | 14.5
| | S/N | 12.0 | 20.8 | 23.2
| | S/N(c) | 10.6 | 19.2 | 22.2
| | SN(E/C) | 0.41
|
|
|
|
|
|
|
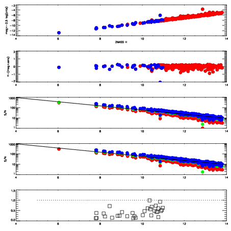
| 8420039
| 47
| | Red | Green | Blue
| | z | | 18.91
| | znorm | | 14.73
| | sky | 14.6 | 14.5 | 14.6
| | S/N | 12.4 | 21.5 | 24.1
| | S/N(c) | 10.8 | 19.6 | 23.0
| | SN(E/C) | 0.39
|
|
|
|
|
|
|
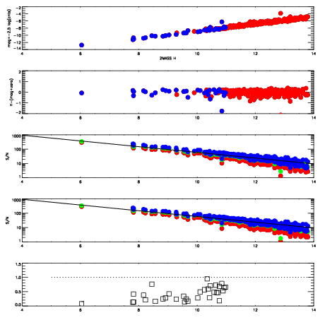
| 8420040
| 47
| | Red | Green | Blue
| | z | | 18.92
| | znorm | | 14.74
| | sky | 14.6 | 14.6 | 14.6
| | S/N | 12.5 | 21.8 | 24.0
| | S/N(c) | 10.8 | 19.7 | 22.9
| | SN(E/C) | 0.43
|
|
|
|
|
|
|
| 8420041
| 47
| | Red | Green | Blue
| | z | | 18.93
| | znorm | | 14.75
| | sky | 14.7 | 14.6 | 14.8
| | S/N | 12.3 | 21.2 | 24.0
| | S/N(c) | 10.8 | 19.3 | 22.7
| | SN(E/C) | 0.41
|
|
|
|
|
|
|
| 8420042
| 47
| | Red | Green | Blue
| | z | | 18.95
| | znorm | | 14.77
| | sky | 14.7 | 14.7 | 14.7
| | S/N | 12.5 | 21.7 | 24.2
| | S/N(c) | 10.8 | 19.9 | 22.9
| | SN(E/C) | 0.39
|
|
|
|
|
|
|
| 8420043
| 47
| | Red | Green | Blue
| | z | | 18.95
| | znorm | | 14.77
| | sky | 14.7 | 14.7 | 14.7
| | S/N | 12.7 | 21.8 | 24.3
| | S/N(c) | 11.1 | 20.1 | 22.7
| | SN(E/C) | 0.42
|
|
|
|
|
|
|
| 8420044
| 47
| | Red | Green | Blue
| | z | | 18.97
| | znorm | | 14.79
| | sky | 14.8 | 14.6 | 14.8
| | S/N | 13.2 | 22.1 | 24.2
| | S/N(c) | 11.5 | 20.3 | 23.0
| | SN(E/C) | 0.41
|
|
|
|
|
|
|