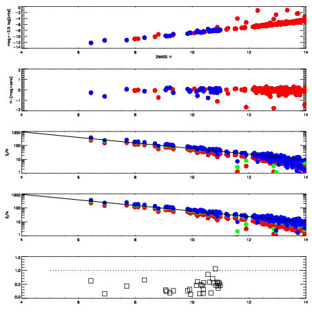
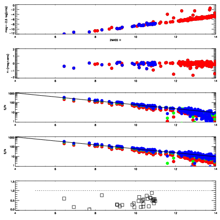
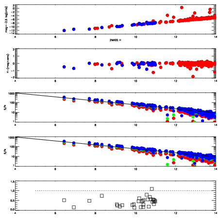
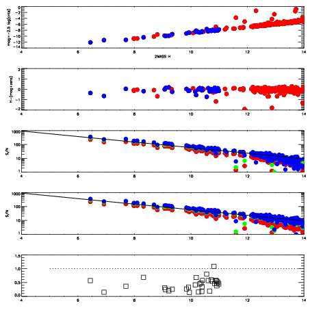
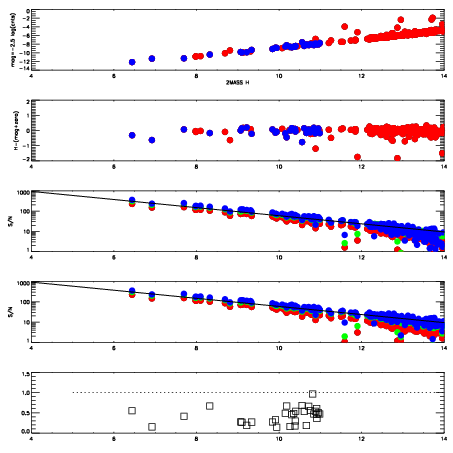
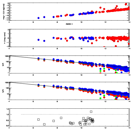
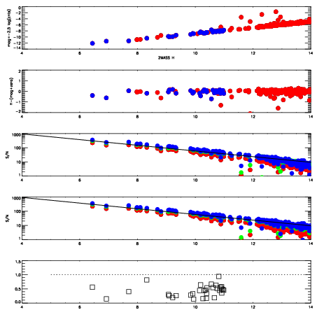
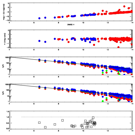
Frame | Nreads | Zeropoints | Mag plots
| Spatial mag deviation
| Spatial sky 16325A emission deviations (filled: sky, open: star)
| Spatial sky continuum emission
| Spatial sky telluric CO2 absorption deviations (filled: H < 10)
|
4890025
| 47
| | Red | Green | Blue
| z | | 18.78
| znorm | | 14.60
| sky | 14.6 | 14.2 | 13.4
| S/N | 13.6 | 21.4 | 22.3
| S/N(c) | 12.2 | 20.1 | 23.8
| SN(E/C) | 0.47
|
|
|
|
|
|
|
4890026
| 47
| | Red | Green | Blue
| z | | 18.87
| znorm | | 14.69
| sky | 14.4 | 14.2 | 13.7
| S/N | 14.0 | 22.6 | 24.3
| S/N(c) | 12.5 | 21.2 | 25.3
| SN(E/C) | 0.46
|
|
|
|
|
|
|
4890027
| 47
| | Red | Green | Blue
| z | | 18.88
| znorm | | 14.70
| sky | 14.7 | 14.3 | 13.7
| S/N | 14.0 | 22.7 | 24.5
| S/N(c) | 12.5 | 21.4 | 25.3
| SN(E/C) | 0.47
|
|
|
|
|
|
|
4890028
| 47
| | Red | Green | Blue
| z | | 18.90
| znorm | | 14.72
| sky | 14.7 | 14.3 | 13.8
| S/N | 14.0 | 22.7 | 24.7
| S/N(c) | 12.7 | 21.3 | 25.1
| SN(E/C) | 0.45
|
|
|
|
|
|
|
4890029
| 47
| | Red | Green | Blue
| z | | 18.92
| znorm | | 14.74
| sky | 14.5 | 14.3 | 13.8
| S/N | 14.2 | 23.0 | 24.9
| S/N(c) | 13.1 | 21.7 | 25.3
| SN(E/C) | 0.45
|
|
|
|
|
|
|
4890030
| 47
| | Red | Green | Blue
| z | | 18.97
| znorm | | 14.79
| sky | 14.5 | 14.3 | 13.8
| S/N | 14.9 | 23.4 | 25.4
| S/N(c) | 13.6 | 22.0 | 25.4
| SN(E/C) | 0.45
|
|
|
|
|
|
|
4890031
| 47
| | Red | Green | Blue
| z | | 18.96
| znorm | | 14.78
| sky | 14.6 | 14.4 | 13.9
| S/N | 14.5 | 23.5 | 25.5
| S/N(c) | 13.3 | 22.2 | 25.5
| SN(E/C) | 0.45
|
|
|
|
|
|
|
4890032
| 47
| | Red | Green | Blue
| z | | 18.92
| znorm | | 14.74
| sky | 14.3 | 14.3 | 14.0
| S/N | 14.1 | 23.3 | 25.4
| S/N(c) | 12.8 | 22.1 | 25.4
| SN(E/C) | 0.45
|
|
|
|
|
|
|