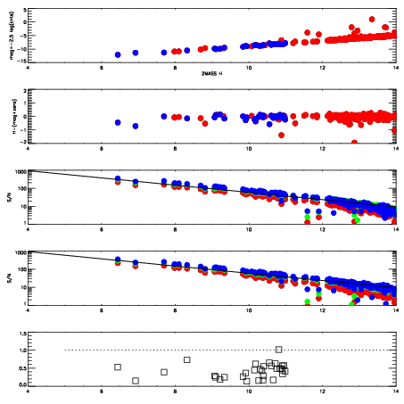
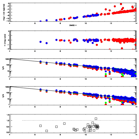
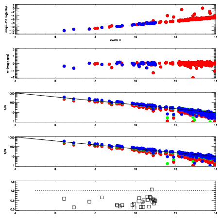
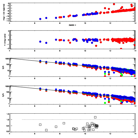
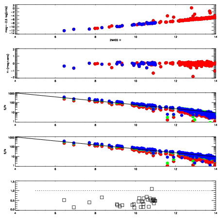
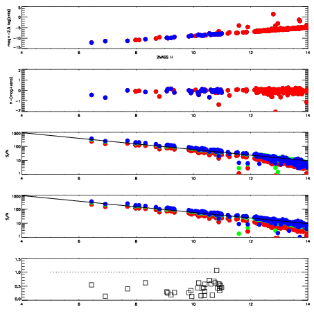
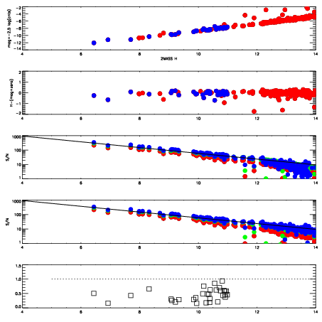
| Frame | Nreads | Zeropoints | Mag plots
| Spatial mag deviation
| Spatial sky 16325A emission deviations (filled: sky, open: star)
| Spatial sky continuum emission
| Spatial sky telluric CO2 absorption deviations (filled: H < 10)
|
| 4910025
| 47
| | Red | Green | Blue
| | z | | 18.74
| | znorm | | 14.56
| | sky | 14.5 | 14.3 | 13.6
| | S/N | 12.9 | 21.6 | 22.0
| | S/N(c) | 11.4 | 20.3 | 23.5
| | SN(E/C) | 0.46
|
|
|
|
|
|
|
| 4910026
| 47
| | Red | Green | Blue
| | z | | 18.80
| | znorm | | 14.62
| | sky | 14.6 | 14.4 | 13.8
| | S/N | 13.4 | 22.1 | 23.1
| | S/N(c) | 12.1 | 20.8 | 24.0
| | SN(E/C) | 0.47
|
|
|
|
|
|
|
| 4910027
| 47
| | Red | Green | Blue
| | z | | 18.93
| | znorm | | 14.75
| | sky | 14.4 | 14.4 | 13.8
| | S/N | 14.2 | 23.6 | 25.5
| | S/N(c) | 12.8 | 22.1 | 26.1
| | SN(E/C) | 0.45
|
|
|
|
|
|
|
| 4910028
| 47
| | Red | Green | Blue
| | z | | 18.93
| | znorm | | 14.75
| | sky | 14.6 | 14.5 | 13.9
| | S/N | 14.4 | 23.5 | 25.5
| | S/N(c) | 12.8 | 22.0 | 26.0
| | SN(E/C) | 0.45
|
|
|
|
|
|
|
| 4910029
| 47
| | Red | Green | Blue
| | z | | 18.98
| | znorm | | 14.80
| | sky | 14.7 | 14.4 | 14.0
| | S/N | 14.8 | 24.2 | 26.5
| | S/N(c) | 13.5 | 22.7 | 26.7
| | SN(E/C) | 0.43
|
|
|
|
|
|
|
| 4910030
| 47
| | Red | Green | Blue
| | z | | 18.94
| | znorm | | 14.76
| | sky | 14.5 | 14.6 | 14.0
| | S/N | 14.5 | 23.8 | 26.3
| | S/N(c) | 13.0 | 22.4 | 26.5
| | SN(E/C) | 0.45
|
|
|
|
|
|
|
| 4910031
| 47
| | Red | Green | Blue
| | z | | 19.01
| | znorm | | 14.83
| | sky | 14.4 | 14.5 | 14.0
| | S/N | 14.9 | 24.4 | 27.0
| | S/N(c) | 13.8 | 22.8 | 26.9
| | SN(E/C) | 0.43
|
|
|
|
|
|
|
| 4910032
| 47
| | Red | Green | Blue
| | z | | 18.99
| | znorm | | 14.81
| | sky | 14.4 | 14.5 | 14.0
| | S/N | 14.8 | 24.2 | 26.5
| | S/N(c) | 13.5 | 22.7 | 26.5
| | SN(E/C) | 0.44
|
|
|
|
|
|
|