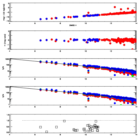
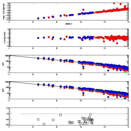
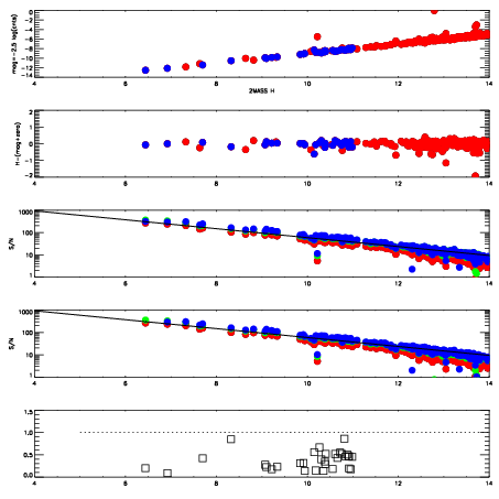
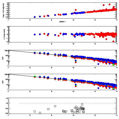
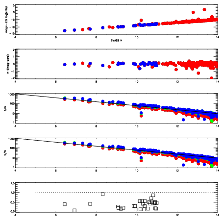
| Frame | Nreads | Zeropoints | Mag plots
| Spatial mag deviation
| Spatial sky 16325A emission deviations (filled: sky, open: star)
| Spatial sky continuum emission
| Spatial sky telluric CO2 absorption deviations (filled: H < 10)
|
| 5160010
| 47
| | Red | Green | Blue
| | z | | 19.00
| | znorm | | 14.82
| | sky | 14.0 | 13.7 | 13.5
| | S/N | 16.0 | 24.5 | 25.1
| | S/N(c) | 14.6 | 22.8 | 23.8
| | SN(E/C) | 0.40
|
|
|
|
|
|
|
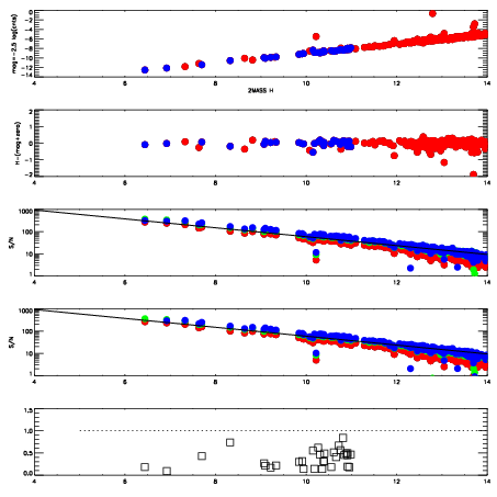
| 5160011
| 47
| | Red | Green | Blue
| | z | | 19.02
| | znorm | | 14.84
| | sky | 14.1 | 14.0 | 13.9
| | S/N | 15.7 | 24.8 | 25.5
| | S/N(c) | 14.5 | 23.1 | 24.3
| | SN(E/C) | 0.40
|
|
|
|
|
|
|
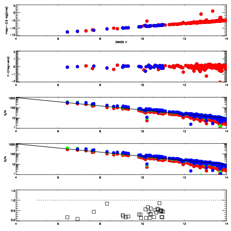
| 5160012
| 47
| | Red | Green | Blue
| | z | | 19.05
| | znorm | | 14.87
| | sky | 14.3 | 14.2 | 14.2
| | S/N | 15.9 | 25.3 | 26.1
| | S/N(c) | 14.7 | 23.6 | 24.9
| | SN(E/C) | 0.40
|
|
|
|
|
|
|
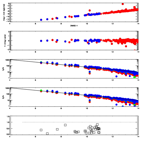
| 5160013
| 47
| | Red | Green | Blue
| | z | | 19.03
| | znorm | | 14.85
| | sky | 14.2 | 14.3 | 14.1
| | S/N | 16.0 | 25.0 | 26.1
| | S/N(c) | 14.7 | 23.3 | 24.9
| | SN(E/C) | 0.42
|
|
|
|
|
|
|
| 5160014
| 47
| | Red | Green | Blue
| | z | | 19.02
| | znorm | | 14.84
| | sky | 14.5 | 14.3 | 14.2
| | S/N | 15.5 | 25.0 | 26.0
| | S/N(c) | 14.1 | 23.4 | 24.8
| | SN(E/C) | 0.42
|
|
|
|
|
|
|
| 5160015
| 47
| | Red | Green | Blue
| | z | | 19.05
| | znorm | | 14.87
| | sky | 14.2 | 14.3 | 14.3
| | S/N | 15.9 | 25.4 | 26.6
| | S/N(c) | 14.7 | 23.8 | 25.3
| | SN(E/C) | 0.41
|
|
|
|
|
|
|
| 5160016
| 47
| | Red | Green | Blue
| | z | | 18.98
| | znorm | | 14.80
| | sky | 14.2 | 14.4 | 14.3
| | S/N | 15.3 | 24.8 | 25.8
| | S/N(c) | 14.1 | 23.1 | 24.4
| | SN(E/C) | 0.43
|
|
|
|
|
|
|
| 5160017
| 47
| | Red | Green | Blue
| | z | | 18.92
| | znorm | | 14.74
| | sky | 14.5 | 14.4 | 14.4
| | S/N | 15.2 | 24.1 | 25.7
| | S/N(c) | 13.8 | 22.4 | 24.2
| | SN(E/C) | 0.44
|
|
|
|
|
|
|