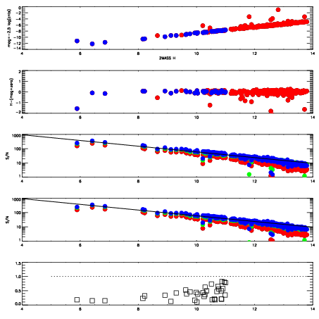
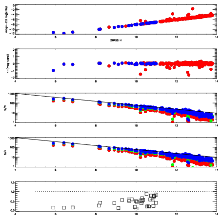
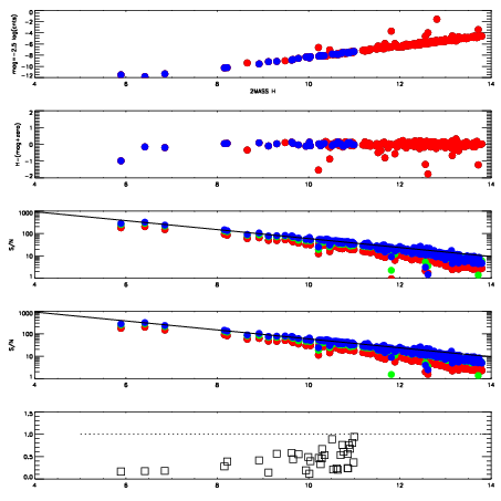
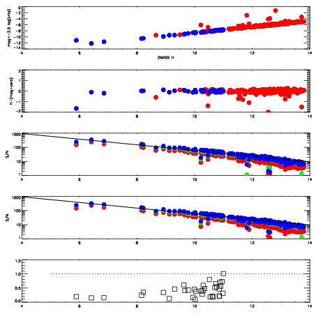
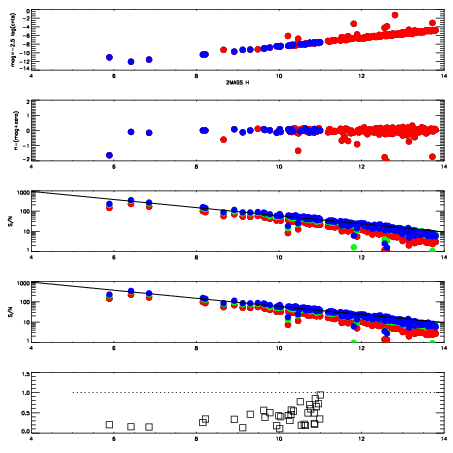
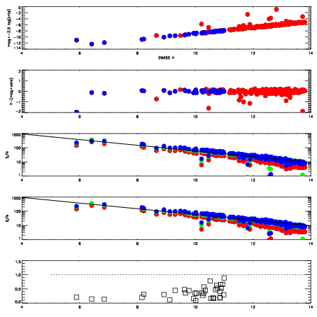
| Frame | Nreads | Zeropoints | Mag plots
| Spatial mag deviation
| Spatial sky 16325A emission deviations (filled: sky, open: star)
| Spatial sky continuum emission
| Spatial sky telluric CO2 absorption deviations (filled: H < 10)
|
| 4570036
| 47
| | Red | Green | Blue
| | z | | 18.34
| | znorm | | 14.16
| | sky | 15.2 | 14.9 | 14.6
| | S/N | 9.6 | 16.0 | 16.8
| | S/N(c) | 8.3 | 14.8 | 16.5
| | SN(E/C) | 0.44
|
|
|
|
|
|
|
| 4570037
| 47
| | Red | Green | Blue
| | z | | 18.37
| | znorm | | 14.19
| | sky | 15.7 | 15.0 | 14.8
| | S/N | 9.6 | 17.5 | 17.6
| | S/N(c) | 8.4 | 16.4 | 17.1
| | SN(E/C) | 0.44
|
|
|
|
|
|
|
| 4570038
| 47
| | Red | Green | Blue
| | z | | 18.09
| | znorm | | 13.91
| | sky | 15.1 | 15.0 | 15.1
| | S/N | 7.3 | 14.4 | 14.2
| | S/N(c) | 6.6 | 13.6 | 13.8
| | SN(E/C) | 0.50
|
|
|
|
|
|
|
| 4570039
| 47
| | Red | Green | Blue
| | z | | 18.67
| | znorm | | 14.48
| | sky | 15.6 | 15.1 | 14.9
| | S/N | 11.4 | 20.5 | 21.3
| | S/N(c) | 10.1 | 19.3 | 20.7
| | SN(E/C) | 0.38
|
|
|
|
|
|
|
| 4570040
| 47
| | Red | Green | Blue
| | z | | 18.88
| | znorm | | 14.70
| | sky | 15.1 | 15.0 | 14.8
| | S/N | 13.6 | 23.3 | 23.5
| | S/N(c) | 12.2 | 22.2 | 23.0
| | SN(E/C) | 0.35
|
|
|
|
|
|
|
| 4570041
| 47
| | Red | Green | Blue
| | z | | 18.88
| | znorm | | 14.70
| | sky | 15.2 | 15.0 | 15.0
| | S/N | 13.5 | 23.1 | 23.6
| | S/N(c) | 12.0 | 22.0 | 22.7
| | SN(E/C) | 0.36
|
|
|
|
|
|
|
| 4570042
| 47
| | Red | Green | Blue
| | z | | 18.68
| | znorm | | 14.50
| | sky | 15.0 | 15.1 | 15.0
| | S/N | 11.8 | 19.9 | 21.4
| | S/N(c) | 10.3 | 18.9 | 20.7
| | SN(E/C) | 0.39
|
|
|
|
|
|
|
| 4570043
| 47
| | Red | Green | Blue
| | z | | 18.56
| | znorm | | 14.38
| | sky | 15.0 | 15.1 | 15.1
| | S/N | 10.7 | 19.3 | 19.6
| | S/N(c) | 9.3 | 18.1 | 18.8
| | SN(E/C) | 0.40
|
|
|
|
|
|
|