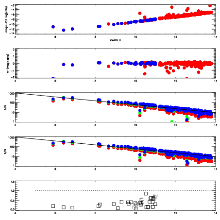
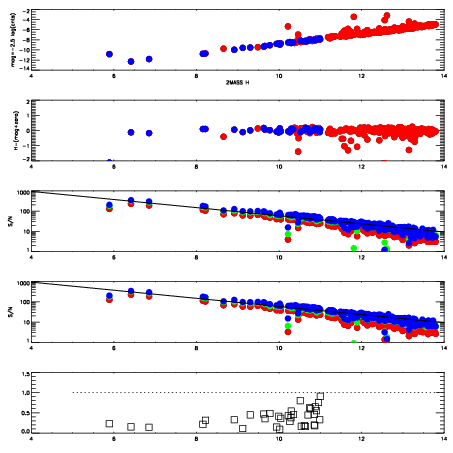
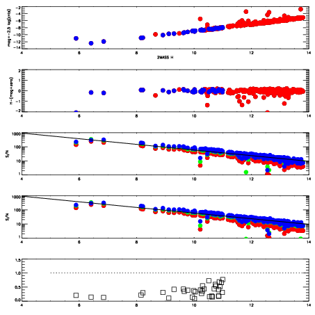
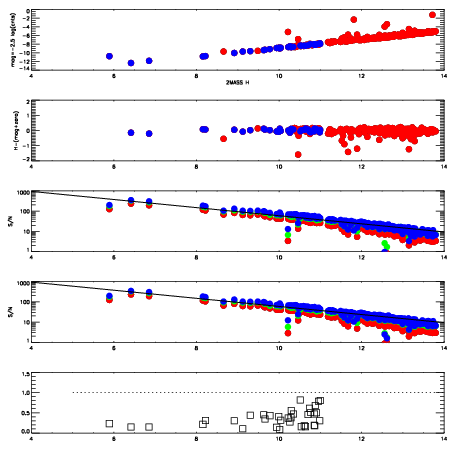
| Frame | Nreads | Zeropoints | Mag plots
| Spatial mag deviation
| Spatial sky 16325A emission deviations (filled: sky, open: star)
| Spatial sky continuum emission
| Spatial sky telluric CO2 absorption deviations (filled: H < 10)
|
| 4600047
| 47
| | Red | Green | Blue
| | z | | 18.93
| | znorm | | 14.75
| | sky | 14.4 | 14.0 | 13.8
| | S/N | 14.3 | 22.4 | 24.3
| | S/N(c) | 12.8 | 21.4 | 24.0
| | SN(E/C) | 0.35
|
|
|
|
|
|
|
| 4600048
| 47
| | Red | Green | Blue
| | z | | 18.83
| | znorm | | 14.65
| | sky | 13.8 | 13.6 | 13.7
| | S/N | 13.0 | 20.6 | 22.6
| | S/N(c) | 11.7 | 19.3 | 22.0
| | SN(E/C) | 0.35
|
|
|
|
|
|
|
| 4600049
| 47
| | Red | Green | Blue
| | z | | 18.82
| | znorm | | 14.64
| | sky | 13.6 | 13.5 | 13.5
| | S/N | 12.8 | 20.2 | 21.8
| | S/N(c) | 11.6 | 19.0 | 21.4
| | SN(E/C) | 0.36
|
|
|
|
|
|
|
| 4600050
| 47
| | Red | Green | Blue
| | z | | 18.98
| | znorm | | 14.80
| | sky | 14.1 | 14.0 | 14.0
| | S/N | 14.5 | 22.6 | 24.9
| | S/N(c) | 13.0 | 21.3 | 24.1
| | SN(E/C) | 0.35
|
|
|
|
|
|
|
| 4600051
| 47
| | Red | Green | Blue
| | z | | 18.96
| | znorm | | 14.78
| | sky | 14.1 | 14.0 | 14.0
| | S/N | 14.2 | 22.3 | 24.4
| | S/N(c) | 12.6 | 20.8 | 23.6
| | SN(E/C) | 0.33
|
|
|
|
|
|
|
| 4600052
| 47
| | Red | Green | Blue
| | z | | 18.65
| | znorm | | 14.47
| | sky | 13.3 | 13.3 | 13.3
| | S/N | 10.7 | 17.3 | 18.4
| | S/N(c) | 9.4 | 16.1 | 18.0
| | SN(E/C) | 0.38
|
|
|
|
|
|
|
| 4600053
| 47
| | Red | Green | Blue
| | z | | 18.89
| | znorm | | 14.71
| | sky | 13.7 | 13.7 | 13.7
| | S/N | 13.1 | 20.9 | 22.9
| | S/N(c) | 11.6 | 19.6 | 22.1
| | SN(E/C) | 0.35
|
|
|
|
|
|
|
| 4600054
| 47
| | Red | Green | Blue
| | z | | 18.83
| | znorm | | 14.65
| | sky | 13.6 | 13.5 | 13.5
| | S/N | 12.3 | 20.2 | 21.3
| | S/N(c) | 11.0 | 18.7 | 20.7
| | SN(E/C) | 0.38
|
|
|
|
|
|
|