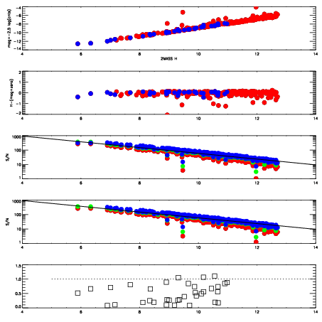
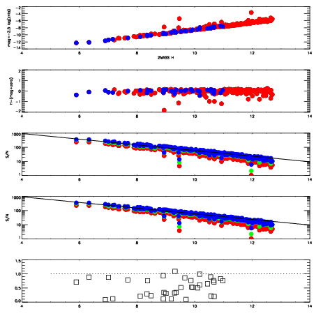
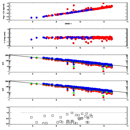
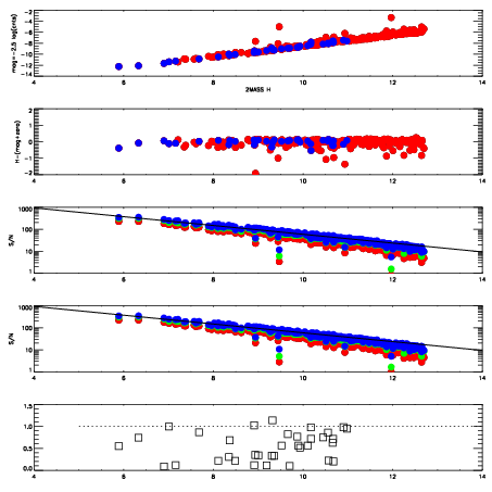
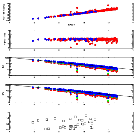
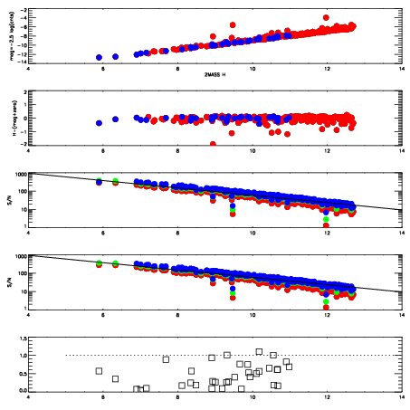
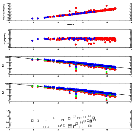
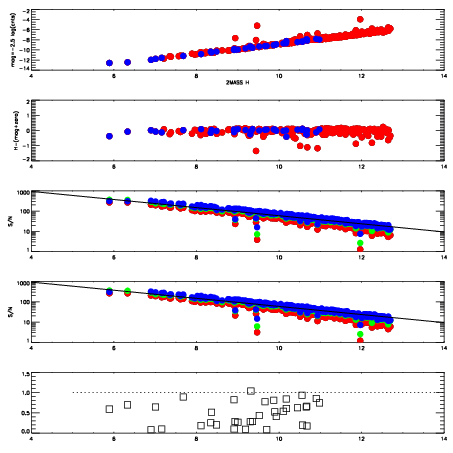
Frame | Nreads | Zeropoints | Mag plots
| Spatial mag deviation
| Spatial sky 16325A emission deviations (filled: sky, open: star)
| Spatial sky continuum emission
| Spatial sky telluric CO2 absorption deviations (filled: H < 10)
|
8730022
| 47
| | Red | Green | Blue
| z | | 18.93
| znorm | | 14.75
| sky | 14.5 | 14.2 | 14.3
| S/N | 13.1 | 22.3 | 26.4
| S/N(c) | 11.2 | 20.5 | 25.1
| SN(E/C) | 0.51
|
|
|
|
|
|
|
8730023
| 47
| | Red | Green | Blue
| z | | 18.86
| znorm | | 14.68
| sky | 14.4 | 14.2 | 14.4
| S/N | 12.7 | 21.1 | 25.4
| S/N(c) | 10.9 | 19.2 | 23.8
| SN(E/C) | 0.51
|
|
|
|
|
|
|
8730024
| 47
| | Red | Green | Blue
| z | | 18.84
| znorm | | 14.66
| sky | 14.2 | 14.1 | 14.3
| S/N | 11.9 | 20.4 | 24.8
| S/N(c) | 10.2 | 18.5 | 23.2
| SN(E/C) | 0.52
|
|
|
|
|
|
|
8730025
| 47
| | Red | Green | Blue
| z | | 18.86
| znorm | | 14.68
| sky | 14.1 | 14.2 | 14.3
| S/N | 12.1 | 20.3 | 24.8
| S/N(c) | 10.4 | 18.6 | 22.8
| SN(E/C) | 0.52
|
|
|
|
|
|
|
8730026
| 47
| | Red | Green | Blue
| z | | 18.92
| znorm | | 14.74
| sky | 14.4 | 14.2 | 14.3
| S/N | 12.7 | 21.3 | 25.6
| S/N(c) | 11.1 | 19.6 | 23.6
| SN(E/C) | 0.41
|
|
|
|
|
|
|
8730027
| 47
| | Red | Green | Blue
| z | | 18.54
| znorm | | 14.36
| sky | 14.1 | 14.0 | 14.0
| S/N | 9.8 | 16.7 | 20.2
| S/N(c) | 8.3 | 15.1 | 18.6
| SN(E/C) | 0.53
|
|
|
|
|
|
|
8730028
| 47
| | Red | Green | Blue
| z | | 18.67
| znorm | | 14.49
| sky | 14.2 | 14.0 | 14.1
| S/N | 10.4 | 18.3 | 21.2
| S/N(c) | 9.2 | 16.7 | 19.5
| SN(E/C) | 0.52
|
|
|
|
|
|
|
8730029
| 47
| | Red | Green | Blue
| z | | 18.50
| znorm | | 14.32
| sky | 14.1 | 13.9 | 14.1
| S/N | 9.1 | 16.3 | 18.7
| S/N(c) | 7.8 | 14.8 | 17.3
| SN(E/C) | 0.56
|
|
|
|
|
|
|