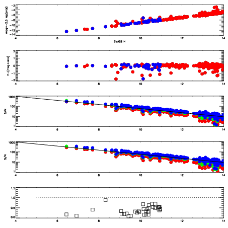
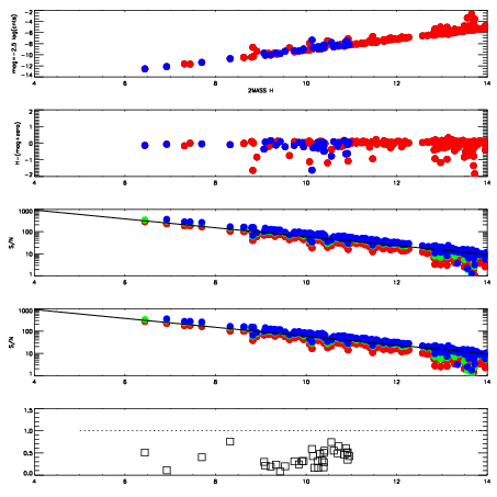
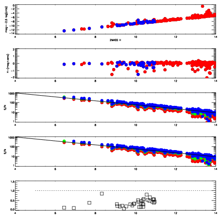
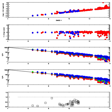
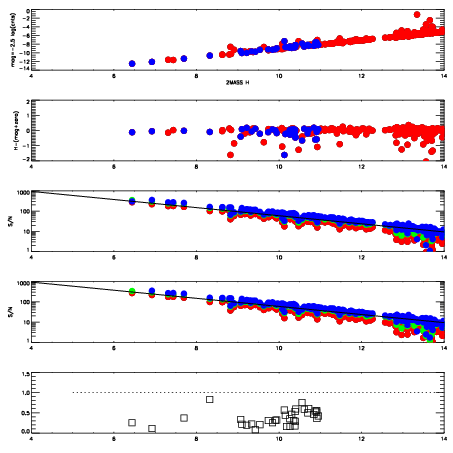
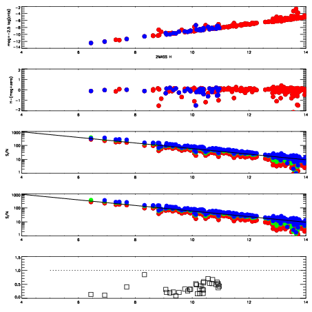
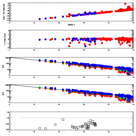
| Frame | Nreads | Zeropoints | Mag plots
| Spatial mag deviation
| Spatial sky 16325A emission deviations (filled: sky, open: star)
| Spatial sky continuum emission
| Spatial sky telluric CO2 absorption deviations (filled: H < 10)
|
| 4870048
| 47
| | Red | Green | Blue
| | z | | 19.02
| | znorm | | 14.84
| | sky | 14.8 | 14.7 | 14.7
| | S/N | 13.9 | 23.6 | 26.8
| | S/N(c) | 12.3 | 22.5 | 25.5
| | SN(E/C) | 0.35
|
|
|
|
|
|
|
| 4870049
| 47
| | Red | Green | Blue
| | z | | 19.00
| | znorm | | 14.82
| | sky | 14.7 | 14.6 | 15.0
| | S/N | 14.1 | 23.6 | 27.3
| | S/N(c) | 12.4 | 22.4 | 26.0
| | SN(E/C) | 0.34
|
|
|
|
|
|
|
| 4870050
| 47
| | Red | Green | Blue
| | z | | 19.01
| | znorm | | 14.83
| | sky | 15.1 | 14.6 | 15.2
| | S/N | 13.9 | 23.8 | 27.6
| | S/N(c) | 12.4 | 22.6 | 26.1
| | SN(E/C) | 0.34
|
|
|
|
|
|
|
| 4870051
| 47
| | Red | Green | Blue
| | z | | 19.07
| | znorm | | 14.89
| | sky | 14.7 | 14.6 | 15.1
| | S/N | 14.4 | 24.5 | 28.3
| | S/N(c) | 12.9 | 23.5 | 26.8
| | SN(E/C) | 0.34
|
|
|
|
|
|
|
| 4870052
| 47
| | Red | Green | Blue
| | z | | 19.06
| | znorm | | 14.87
| | sky | 14.8 | 14.8 | 15.0
| | S/N | 14.7 | 24.5 | 27.8
| | S/N(c) | 13.1 | 23.4 | 26.3
| | SN(E/C) | 0.35
|
|
|
|
|
|
|
| 4870053
| 47
| | Red | Green | Blue
| | z | | 19.01
| | znorm | | 14.83
| | sky | 14.5 | 14.7 | 15.0
| | S/N | 14.1 | 24.2 | 27.1
| | S/N(c) | 12.4 | 22.8 | 25.7
| | SN(E/C) | 0.36
|
|
|
|
|
|
|
| 4870054
| 47
| | Red | Green | Blue
| | z | | 19.02
| | znorm | | 14.84
| | sky | 14.8 | 14.7 | 15.1
| | S/N | 14.1 | 24.5 | 26.8
| | S/N(c) | 12.5 | 23.3 | 25.6
| | SN(E/C) | 0.35
|
|
|
|
|
|
|
| 4870055
| 47
| | Red | Green | Blue
| | z | | 19.11
| | znorm | | 14.93
| | sky | 14.6 | 14.8 | 15.1
| | S/N | 15.0 | 25.4 | 27.9
| | S/N(c) | 13.3 | 24.1 | 26.8
| | SN(E/C) | 0.35
|
|
|
|
|
|
|