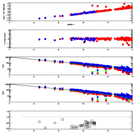
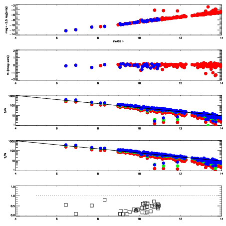
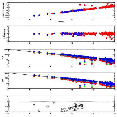
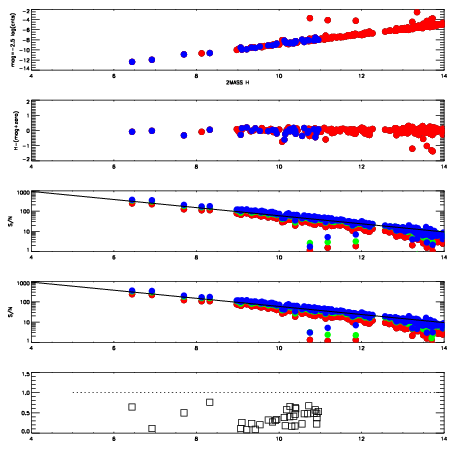
| Frame | Nreads | Zeropoints | Mag plots
| Spatial mag deviation
| Spatial sky 16325A emission deviations (filled: sky, open: star)
| Spatial sky continuum emission
| Spatial sky telluric CO2 absorption deviations (filled: H < 10)
|
| 5210026
| 47
| | Red | Green | Blue
| | z | | 18.97
| | znorm | | 14.79
| | sky | 14.5 | 14.2 | 14.2
| | S/N | 14.9 | 24.7 | 26.3
| | S/N(c) | 13.1 | 23.5 | 25.8
| | SN(E/C) | 0.38
|
|
|
|
|
|
|
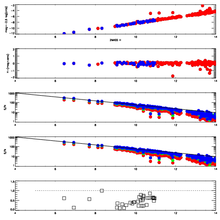
| 5210027
| 47
| | Red | Green | Blue
| | z | | 18.91
| | znorm | | 14.73
| | sky | 14.4 | 14.2 | 14.4
| | S/N | 14.1 | 23.8 | 25.5
| | S/N(c) | 12.4 | 22.5 | 24.6
| | SN(E/C) | 0.40
|
|
|
|
|
|
|
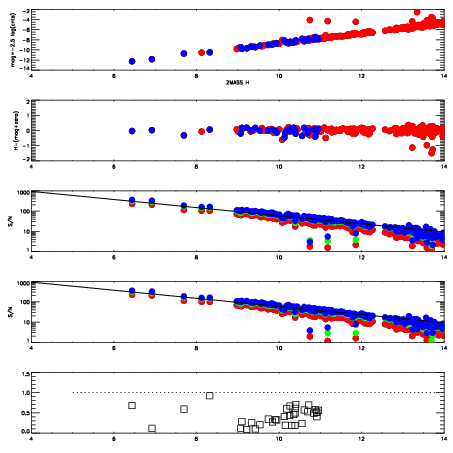
| 5210028
| 47
| | Red | Green | Blue
| | z | | 18.72
| | znorm | | 14.54
| | sky | 13.9 | 14.0 | 14.1
| | S/N | 12.4 | 21.1 | 22.6
| | S/N(c) | 11.0 | 19.8 | 21.8
| | SN(E/C) | 0.42
|
|
|
|
|
|
|
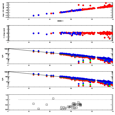
| 5210029
| 47
| | Red | Green | Blue
| | z | | 18.71
| | znorm | | 14.53
| | sky | 14.0 | 14.0 | 14.1
| | S/N | 11.9 | 20.8 | 22.3
| | S/N(c) | 10.6 | 19.5 | 21.3
| | SN(E/C) | 0.43
|
|
|
|
|
|
|
| 5210030
| 47
| | Red | Green | Blue
| | z | | 18.88
| | znorm | | 14.70
| | sky | 14.2 | 14.1 | 14.1
| | S/N | 13.8 | 23.4 | 25.0
| | S/N(c) | 12.3 | 22.0 | 24.0
| | SN(E/C) | 0.38
|
|
|
|
|
|
|
| 5210031
| 47
| | Red | Green | Blue
| | z | | 18.80
| | znorm | | 14.62
| | sky | 14.1 | 14.0 | 14.1
| | S/N | 12.9 | 22.2 | 23.6
| | S/N(c) | 11.4 | 20.8 | 22.7
| | SN(E/C) | 0.43
|
|
|
|
|
|
|
| 5210032
| 47
| | Red | Green | Blue
| | z | | 18.85
| | znorm | | 14.67
| | sky | 14.2 | 14.1 | 14.2
| | S/N | 13.5 | 23.0 | 24.4
| | S/N(c) | 11.9 | 21.6 | 23.4
| | SN(E/C) | 0.41
|
|
|
|
|
|
|
| 5210033
| 47
| | Red | Green | Blue
| | z | | 18.31
| | znorm | | 14.13
| | sky | 14.2 | 14.2 | 14.1
| | S/N | 8.7 | 16.5 | 16.6
| | S/N(c) | 7.6 | 15.3 | 16.1
| | SN(E/C) | 0.50
|
|
|
|
|
|
|