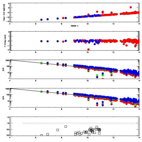
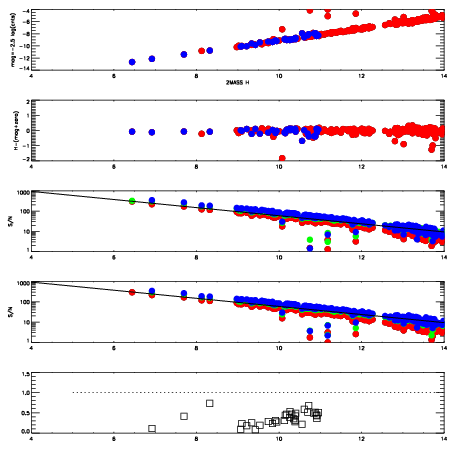
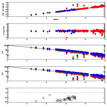
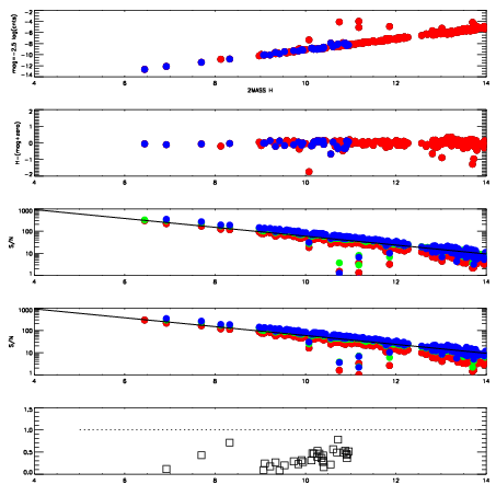
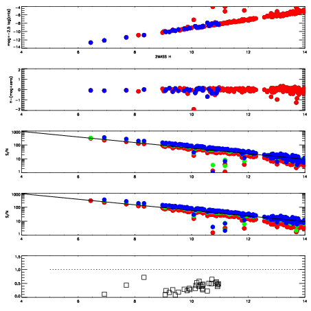
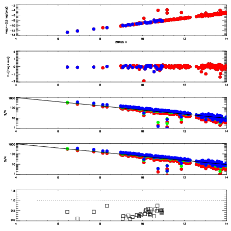
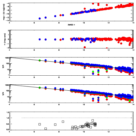
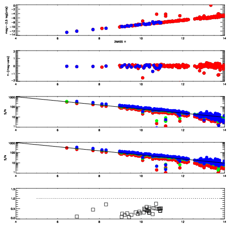
| Frame | Nreads | Zeropoints | Mag plots
| Spatial mag deviation
| Spatial sky 16325A emission deviations (filled: sky, open: star)
| Spatial sky continuum emission
| Spatial sky telluric CO2 absorption deviations (filled: H < 10)
|
| 7540096
| 47
| | Red | Green | Blue
| | z | | 19.04
| | znorm | | 14.86
| | sky | 15.1 | 14.3 | 13.7
| | S/N | 15.8 | 25.4 | 26.7
| | S/N(c) | 13.6 | 23.7 | 25.8
| | SN(E/C) | 0.41
|
|
|
|
|
|
|
| 7540097
| 47
| | Red | Green | Blue
| | z | | 19.11
| | znorm | | 14.93
| | sky | 14.6 | 14.3 | 14.1
| | S/N | 16.2 | 26.2 | 28.1
| | S/N(c) | 14.1 | 24.4 | 26.9
| | SN(E/C) | 0.37
|
|
|
|
|
|
|
| 7540098
| 47
| | Red | Green | Blue
| | z | | 19.07
| | znorm | | 14.89
| | sky | 14.7 | 14.3 | 14.0
| | S/N | 16.0 | 25.9 | 27.4
| | S/N(c) | 13.8 | 24.1 | 26.4
| | SN(E/C) | 0.38
|
|
|
|
|
|
|
| 7540099
| 47
| | Red | Green | Blue
| | z | | 19.15
| | znorm | | 14.97
| | sky | 14.6 | 14.3 | 14.1
| | S/N | 16.5 | 26.9 | 28.5
| | S/N(c) | 14.5 | 25.0 | 27.3
| | SN(E/C) | 0.41
|
|
|
|
|
|
|
| 7540100
| 47
| | Red | Green | Blue
| | z | | 19.16
| | znorm | | 14.98
| | sky | 14.8 | 14.4 | 14.1
| | S/N | 16.7 | 26.9 | 28.5
| | S/N(c) | 14.6 | 25.0 | 27.2
| | SN(E/C) | 0.39
|
|
|
|
|
|
|
| 7540101
| 47
| | Red | Green | Blue
| | z | | 19.17
| | znorm | | 14.99
| | sky | 14.8 | 14.4 | 14.1
| | S/N | 16.6 | 26.8 | 28.5
| | S/N(c) | 14.5 | 25.0 | 27.3
| | SN(E/C) | 0.35
|
|
|
|
|
|
|
| 7540102
| 47
| | Red | Green | Blue
| | z | | 19.13
| | znorm | | 14.95
| | sky | 14.6 | 14.4 | 14.1
| | S/N | 16.2 | 26.4 | 27.9
| | S/N(c) | 14.1 | 24.4 | 26.6
| | SN(E/C) | 0.40
|
|
|
|
|
|
|
| 7540103
| 47
| | Red | Green | Blue
| | z | | 19.14
| | znorm | | 14.96
| | sky | 14.5 | 14.4 | 14.1
| | S/N | 15.9 | 26.4 | 27.5
| | S/N(c) | 13.9 | 24.3 | 26.4
| | SN(E/C) | 0.36
|
|
|
|
|
|
|
| 7540104
| 47
| | Red | Green | Blue
| | z | | 19.17
| | znorm | | 14.99
| | sky | 14.6 | 14.5 | 14.1
| | S/N | 15.9 | 26.3 | 27.5
| | S/N(c) | 13.9 | 24.3 | 26.6
| | SN(E/C) | 0.39
|
|
|
|
|
|
|
| 7540105
| 47
| | Red | Green | Blue
| | z | | 19.16
| | znorm | | 14.98
| | sky | 14.7 | 14.4 | 14.1
| | S/N | 15.8 | 26.3 | 27.4
| | S/N(c) | 14.1 | 24.4 | 26.8
| | SN(E/C) | 0.40
|
|
|
|
|
|
|
| 7540106
| 47
| | Red | Green | Blue
| | z | | 19.14
| | znorm | | 14.96
| | sky | 14.7 | 14.4 | 14.0
| | S/N | 16.1 | 27.0 | 27.9
| | S/N(c) | 14.1 | 25.0 | 27.5
| | SN(E/C) | 0.39
|
|
|
|
|
|
|
| 7540107
| 47
| | Red | Green | Blue
| | z | | 19.14
| | znorm | | 14.96
| | sky | 14.9 | 14.4 | 14.2
| | S/N | 15.9 | 26.7 | 28.0
| | S/N(c) | 13.9 | 24.8 | 27.2
| | SN(E/C) | 0.41
|
|
|
|
|
|
|