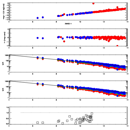
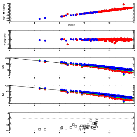
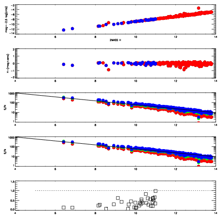
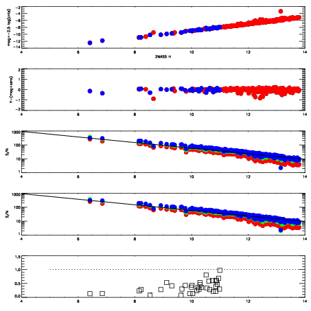
| Frame | Nreads | Zeropoints | Mag plots
| Spatial mag deviation
| Spatial sky 16325A emission deviations (filled: sky, open: star)
| Spatial sky continuum emission
| Spatial sky telluric CO2 absorption deviations (filled: H < 10)
|
| 5190026
| 47
| | Red | Green | Blue
| | z | | 19.00
| | znorm | | 14.82
| | sky | 14.2 | 14.1 | 14.2
| | S/N | 14.2 | 23.4 | 26.4
| | S/N(c) | 12.7 | 22.1 | 24.9
| | SN(E/C) | 0.36
|
|
|
|
|
|
|
| 5190027
| 47
| | Red | Green | Blue
| | z | | 19.01
| | znorm | | 14.83
| | sky | 14.2 | 14.1 | 14.4
| | S/N | 14.0 | 23.4 | 26.8
| | S/N(c) | 12.6 | 22.2 | 25.3
| | SN(E/C) | 0.35
|
|
|
|
|
|
|
| 5190028
| 47
| | Red | Green | Blue
| | z | | 18.81
| | znorm | | 14.63
| | sky | 13.9 | 13.8 | 14.0
| | S/N | 12.3 | 20.6 | 23.8
| | S/N(c) | 11.1 | 19.3 | 22.3
| | SN(E/C) | 0.37
|
|
|
|
|
|
|
| 5190029
| 47
| | Red | Green | Blue
| | z | | 18.77
| | znorm | | 14.59
| | sky | 14.0 | 14.0 | 14.1
| | S/N | 11.6 | 20.6 | 22.5
| | S/N(c) | 10.3 | 19.2 | 21.1
| | SN(E/C) | 0.41
|
|
|
|
|
|
|
| 5190030
| 47
| | Red | Green | Blue
| | z | | 18.89
| | znorm | | 14.71
| | sky | 14.2 | 14.2 | 14.5
| | S/N | 12.9 | 22.3 | 24.6
| | S/N(c) | 11.4 | 21.2 | 23.2
| | SN(E/C) | 0.38
|
|
|
|
|
|
|
| 5190031
| 47
| | Red | Green | Blue
| | z | | 18.69
| | znorm | | 14.51
| | sky | 13.8 | 13.8 | 13.9
| | S/N | 11.1 | 19.2 | 21.9
| | S/N(c) | 9.9 | 18.0 | 21.0
| | SN(E/C) | 0.41
|
|
|
|
|
|
|
| 5190032
| 47
| | Red | Green | Blue
| | z | | 19.01
| | znorm | | 14.83
| | sky | 14.1 | 14.2 | 14.4
| | S/N | 14.1 | 23.9 | 26.7
| | S/N(c) | 12.6 | 22.5 | 25.3
| | SN(E/C) | 0.35
|
|
|
|
|
|
|
| 5190033
| 47
| | Red | Green | Blue
| | z | | 19.09
| | znorm | | 14.91
| | sky | 14.0 | 14.1 | 14.4
| | S/N | 15.0 | 25.3 | 27.6
| | S/N(c) | 13.6 | 23.7 | 26.1
| | SN(E/C) | 0.33
|
|
|
|
|
|
|