| Frame | Nreads | Zeropoints | Mag plots
| Spatial mag deviation
| Spatial sky 16325A emission deviations (filled: sky, open: star)
| Spatial sky continuum emission
| Spatial sky telluric CO2 absorption deviations (filled: H < 10)
|
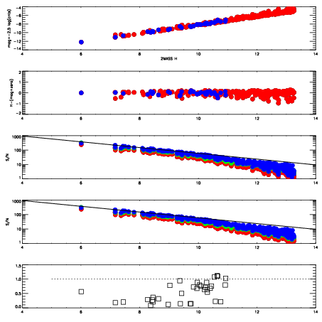
| 4910036
| 47
| | Red | Green | Blue
| | z | | 18.86
| | znorm | | 14.68
| | sky | 13.0 | 12.9 | 12.7
| | S/N | 12.2 | 19.5 | 22.2
| | S/N(c) | 11.1 | 18.2 | 21.9
| | SN(E/C) | 0.47
|
|
|
|
|
|
|
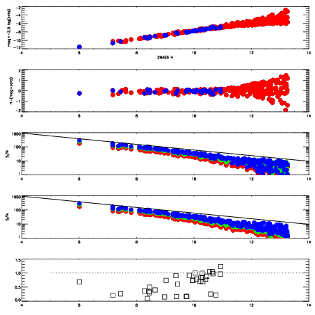
| 4910037
| 47
| | Red | Green | Blue
| | z | | 18.26
| | znorm | | 14.08
| | sky | 11.7 | 11.6 | 11.6
| | S/N | 7.1 | 11.7 | 12.7
| | S/N(c) | 5.5 | 8.7 | 9.9
| | SN(E/C) | 0.64
|
|
|
|
|
|
|
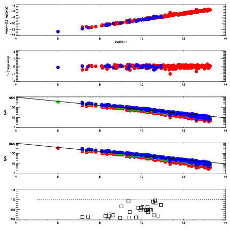
| 4910038
| 47
| | Red | Green | Blue
| | z | | 17.79
| | znorm | | 13.61
| | sky | 11.5 | 11.4 | 11.4
| | S/N | 4.8 | 7.8 | 10.1
| | S/N(c) | 3.5 | 5.5 | 6.7
| | SN(E/C) | 0.71
|
|
|
|
|
|
|
| 4910039
| 47
| | Red | Green | Blue
| | z | | 17.94
| | znorm | | 13.76
| | sky | 11.5 | 11.4 | 11.5
| | S/N | 4.7 | 8.0 | 8.3
| | S/N(c) | 4.1 | 6.4 | 7.8
| | SN(E/C) | 0.70
|
|
|
|
|
|
|
| 4910040
| 47
| | Red | Green | Blue
| | z | | 18.49
| | znorm | | 14.31
| | sky | 11.8 | 11.8 | 11.8
| | S/N | 8.3 | 13.3 | 14.8
| | S/N(c) | 6.8 | 10.8 | 13.2
| | SN(E/C) | 0.59
|
|
|
|
|
|
|
| 4910041
| 47
| | Red | Green | Blue
| | z | | 18.20
| | znorm | | 14.02
| | sky | 11.6 | 11.5 | 11.6
| | S/N | 5.8 | 9.1 | 10.9
| | S/N(c) | 5.2 | 8.2 | 9.9
| | SN(E/C) | 0.63
|
|
|
|
|
|
|
| 4910042
| 47
| | Red | Green | Blue
| | z | | 18.40
| | znorm | | 14.22
| | sky | 11.9 | 11.8 | 11.8
| | S/N | 7.7 | 13.1 | 12.5
| | S/N(c) | 6.5 | 10.3 | 12.5
| | SN(E/C) | 0.56
|
|
|
|
|
|
|
| 4910043
| 47
| | Red | Green | Blue
| | z | | 18.94
| | znorm | | 14.76
| | sky | 13.2 | 13.0 | 13.0
| | S/N | 13.3 | 21.2 | 25.0
| | S/N(c) | 11.9 | 19.6 | 23.5
| | SN(E/C) | 0.45
|
|
|
|
|
|
|