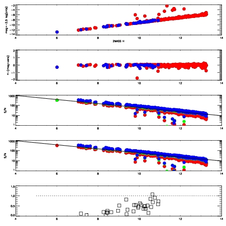
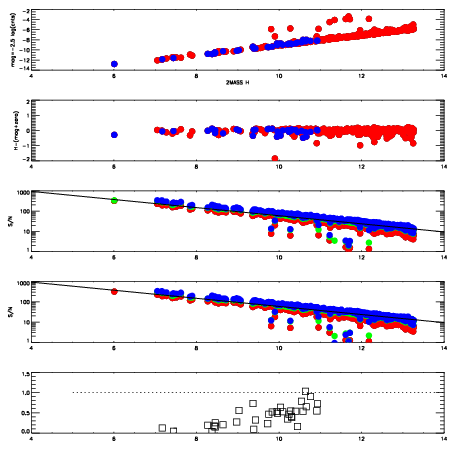
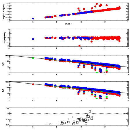
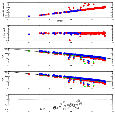
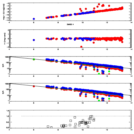
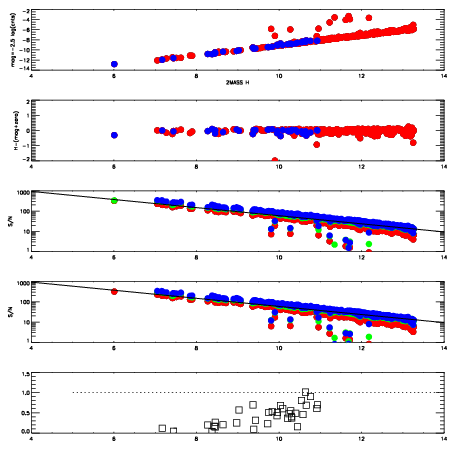
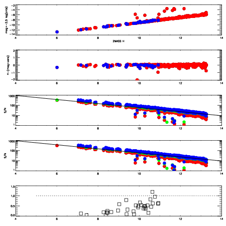
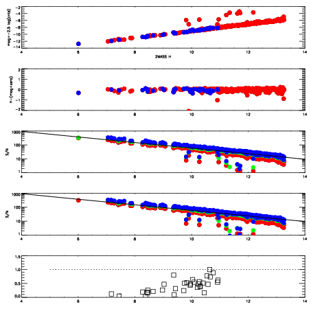
| Frame | Nreads | Zeropoints | Mag plots
| Spatial mag deviation
| Spatial sky 16325A emission deviations (filled: sky, open: star)
| Spatial sky continuum emission
| Spatial sky telluric CO2 absorption deviations (filled: H < 10)
|
| 4870037
| 47
| | Red | Green | Blue
| | z | | 19.07
| | znorm | | 14.89
| | sky | 14.9 | 14.4 | 14.5
| | S/N | 16.0 | 24.8 | 29.2
| | S/N(c) | 14.1 | 23.3 | 27.8
| | SN(E/C) | 0.47
|
|
|
|
|
|
|
| 4870038
| 47
| | Red | Green | Blue
| | z | | 19.07
| | znorm | | 14.89
| | sky | 14.5 | 14.4 | 14.8
| | S/N | 16.0 | 24.5 | 29.2
| | S/N(c) | 14.2 | 22.9 | 27.7
| | SN(E/C) | 0.47
|
|
|
|
|
|
|
| 4870039
| 47
| | Red | Green | Blue
| | z | | 19.11
| | znorm | | 14.93
| | sky | 14.7 | 14.4 | 14.6
| | S/N | 16.2 | 25.0 | 29.3
| | S/N(c) | 14.5 | 23.6 | 27.9
| | SN(E/C) | 0.46
|
|
|
|
|
|
|
| 4870040
| 47
| | Red | Green | Blue
| | z | | 19.08
| | znorm | | 14.90
| | sky | 14.8 | 14.6 | 14.8
| | S/N | 16.0 | 24.7 | 29.3
| | S/N(c) | 14.2 | 23.4 | 27.6
| | SN(E/C) | 0.43
|
|
|
|
|
|
|
| 4870041
| 47
| | Red | Green | Blue
| | z | | 19.08
| | znorm | | 14.90
| | sky | 14.5 | 14.7 | 14.8
| | S/N | 15.5 | 24.9 | 28.7
| | S/N(c) | 13.9 | 23.4 | 27.4
| | SN(E/C) | 0.45
|
|
|
|
|
|
|
| 4870042
| 47
| | Red | Green | Blue
| | z | | 19.09
| | znorm | | 14.91
| | sky | 14.9 | 14.7 | 14.8
| | S/N | 15.9 | 24.8 | 29.1
| | S/N(c) | 14.2 | 23.5 | 27.8
| | SN(E/C) | 0.42
|
|
|
|
|
|
|
| 4870043
| 47
| | Red | Green | Blue
| | z | | 19.11
| | znorm | | 14.93
| | sky | 14.8 | 14.6 | 14.7
| | S/N | 16.3 | 25.2 | 29.2
| | S/N(c) | 14.5 | 23.6 | 28.0
| | SN(E/C) | 0.45
|
|
|
|
|
|
|
| 4870044
| 47
| | Red | Green | Blue
| | z | | 19.10
| | znorm | | 14.91
| | sky | 14.4 | 14.6 | 14.7
| | S/N | 16.0 | 25.0 | 29.3
| | S/N(c) | 14.5 | 23.6 | 28.0
| | SN(E/C) | 0.45
|
|
|
|
|
|
|