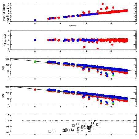
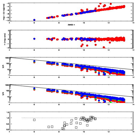
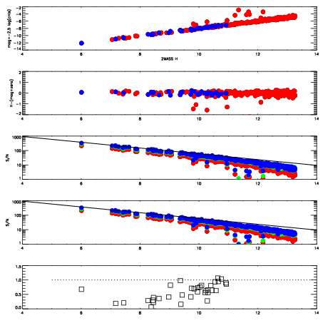
| Frame | Nreads | Zeropoints | Mag plots
| Spatial mag deviation
| Spatial sky 16325A emission deviations (filled: sky, open: star)
| Spatial sky continuum emission
| Spatial sky telluric CO2 absorption deviations (filled: H < 10)
|
| 5210011
| 47
| | Red | Green | Blue
| | z | | 16.33
| | znorm | | 12.15
| | sky | 13.9 | 13.8 | 13.8
| | S/N | 1.7 | 3.9 | 4.4
| | S/N(c) | 1.6 | 3.9 | 4.1
| | SN(E/C) | 0.91
|
|
|
|
|
|
|
| 5210012
| 47
| | Red | Green | Blue
| | z | | 16.70
| | znorm | | 12.52
| | sky | 13.8 | 13.8 | 14.0
| | S/N | 2.3 | 4.3 | 5.3
| | S/N(c) | 2.0 | 4.0 | 4.9
| | SN(E/C) | 0.90
|
|
|
|
|
|
|
| 5210013
| 47
| | Red | Green | Blue
| | z | | 17.29
| | znorm | | 13.11
| | sky | 13.8 | 13.8 | 13.9
| | S/N | 3.9 | 7.5 | 8.4
| | S/N(c) | 3.5 | 6.9 | 7.8
| | SN(E/C) | 0.81
|
|
|
|
|
|
|
| 5210014
| 47
| | Red | Green | Blue
| | z | | 17.73
| | znorm | | 13.55
| | sky | 13.7 | 13.7 | 13.9
| | S/N | 5.7 | 10.7 | 11.2
| | S/N(c) | 5.0 | 9.4 | 10.3
| | SN(E/C) | 0.72
|
|
|
|
|
|
|
| 5210015
| 47
| | Red | Green | Blue
| | z | | 18.03
| | znorm | | 13.85
| | sky | 13.7 | 13.7 | 13.8
| | S/N | 7.2 | 12.7 | 13.4
| | S/N(c) | 6.3 | 11.4 | 12.7
| | SN(E/C) | 0.63
|
|
|
|
|
|
|
| 5210016
| 47
| | Red | Green | Blue
| | z | | 18.52
| | znorm | | 14.34
| | sky | 14.0 | 14.0 | 14.1
| | S/N | 10.6 | 18.1 | 19.2
| | S/N(c) | 9.2 | 16.4 | 18.2
| | SN(E/C) | 0.54
|
|
|
|
|
|
|
| 5210017
| 47
| | Red | Green | Blue
| | z | | 18.89
| | znorm | | 14.71
| | sky | 14.0 | 14.1 | 14.2
| | S/N | 14.0 | 22.8 | 24.1
| | S/N(c) | 12.2 | 20.9 | 23.1
| | SN(E/C) | 0.48
|
|
|
|
|
|
|
| 5210018
| 47
| | Red | Green | Blue
| | z | | 18.97
| | znorm | | 14.79
| | sky | 14.1 | 14.1 | 14.1
| | S/N | 14.6 | 23.7 | 25.4
| | S/N(c) | 12.8 | 21.6 | 24.1
| | SN(E/C) | 0.46
|
|
|
|
|
|
|