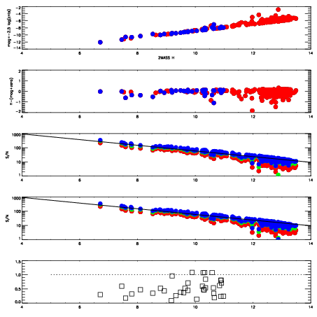
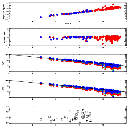
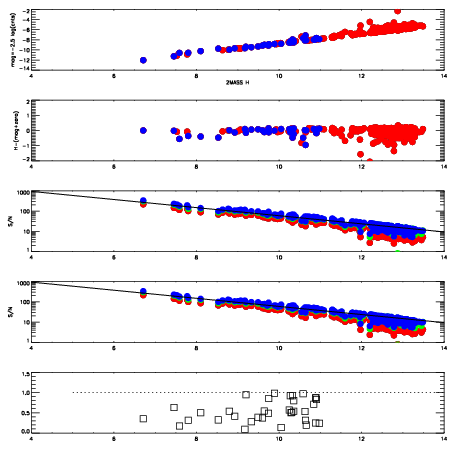
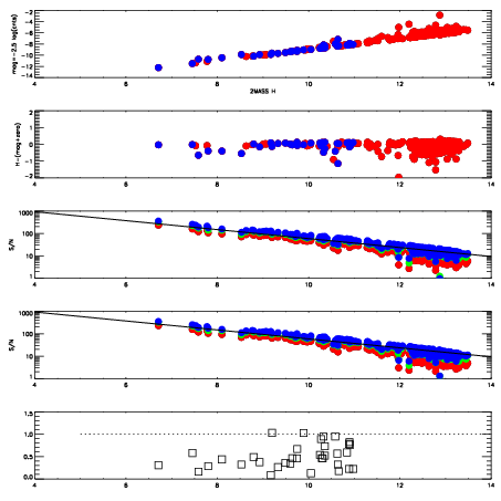
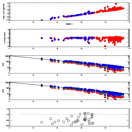
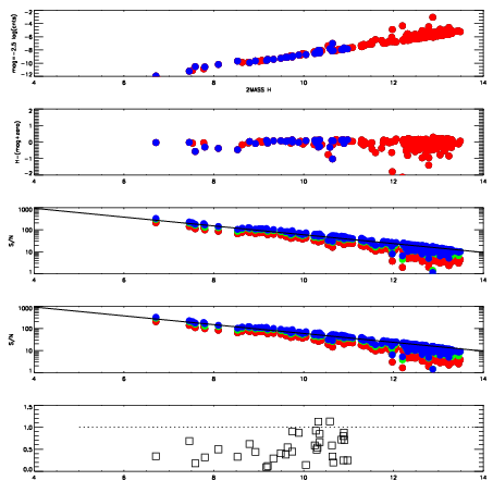
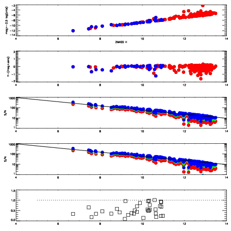
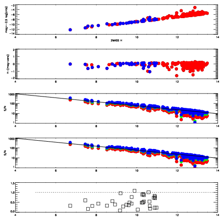
| Frame | Nreads | Zeropoints | Mag plots
| Spatial mag deviation
| Spatial sky 16325A emission deviations (filled: sky, open: star)
| Spatial sky continuum emission
| Spatial sky telluric CO2 absorption deviations (filled: H < 10)
|
| 4020035
| 47
| | Red | Green | Blue
| | z | | 18.72
| | znorm | | 14.54
| | sky | 15.2 | 14.5 | 14.4
| | S/N | 14.4 | 21.7 | 25.2
| | S/N(c) | 12.7 | 20.1 | 24.0
| | SN(E/C) | 0.50
|
|
|
|
|
|
|
| 4020036
| 47
| | Red | Green | Blue
| | z | | 18.80
| | znorm | | 14.62
| | sky | 15.1 | 14.9 | 15.3
| | S/N | 14.5 | 22.7 | 26.5
| | S/N(c) | 12.8 | 20.9 | 24.8
| | SN(E/C) | 0.49
|
|
|
|
|
|
|
| 4020037
| 47
| | Red | Green | Blue
| | z | | 18.87
| | znorm | | 14.69
| | sky | 14.9 | 14.9 | 15.1
| | S/N | 15.4 | 23.3 | 27.5
| | S/N(c) | 13.7 | 21.5 | 25.9
| | SN(E/C) | 0.49
|
|
|
|
|
|
|
| 4020038
| 47
| | Red | Green | Blue
| | z | | 18.95
| | znorm | | 14.77
| | sky | 15.2 | 14.9 | 15.3
| | S/N | 15.7 | 24.1 | 28.5
| | S/N(c) | 14.0 | 22.5 | 26.8
| | SN(E/C) | 0.46
|
|
|
|
|
|
|
| 4020039
| 47
| | Red | Green | Blue
| | z | | 18.78
| | znorm | | 14.60
| | sky | 15.3 | 14.9 | 15.1
| | S/N | 14.0 | 21.9 | 26.0
| | S/N(c) | 12.5 | 20.2 | 24.4
| | SN(E/C) | 0.47
|
|
|
|
|
|
|
| 4020040
| 47
| | Red | Green | Blue
| | z | | 18.65
| | znorm | | 14.47
| | sky | 14.5 | 14.6 | 14.9
| | S/N | 12.7 | 20.4 | 24.5
| | S/N(c) | 11.2 | 18.8 | 23.0
| | SN(E/C) | 0.51
|
|
|
|
|
|
|
| 4020041
| 47
| | Red | Green | Blue
| | z | | 18.77
| | znorm | | 14.59
| | sky | 14.9 | 14.8 | 15.0
| | S/N | 13.8 | 21.5 | 25.7
| | S/N(c) | 12.2 | 19.9 | 23.9
| | SN(E/C) | 0.49
|
|
|
|
|
|
|
| 4020042
| 47
| | Red | Green | Blue
| | z | | 18.68
| | znorm | | 14.50
| | sky | 15.1 | 15.0 | 15.1
| | S/N | 13.0 | 20.8 | 24.8
| | S/N(c) | 11.5 | 19.1 | 23.2
| | SN(E/C) | 0.50
|
|
|
|
|
|
|