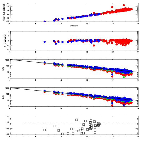
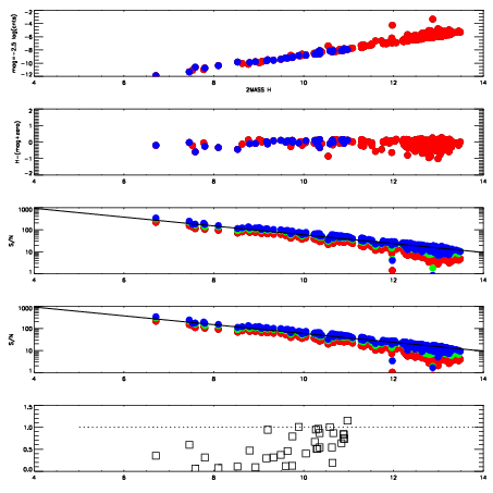
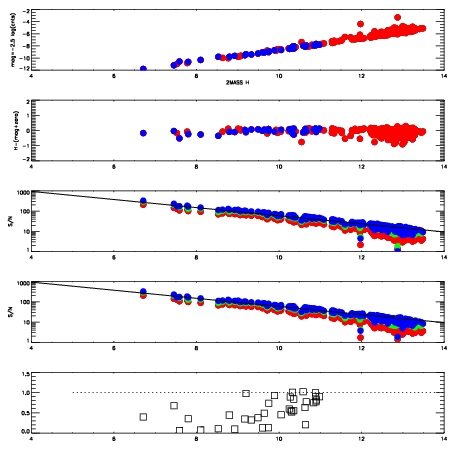
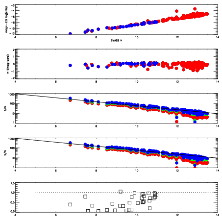
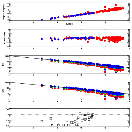
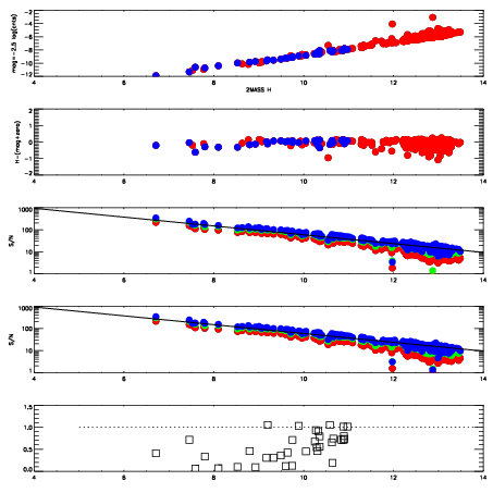
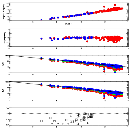
| Frame | Nreads | Zeropoints | Mag plots
| Spatial mag deviation
| Spatial sky 16325A emission deviations (filled: sky, open: star)
| Spatial sky continuum emission
| Spatial sky telluric CO2 absorption deviations (filled: H < 10)
|
| 4290078
| 47
| | Red | Green | Blue
| | z | | 18.92
| | znorm | | 14.74
| | sky | 15.5 | 14.7 | 14.6
| | S/N | 16.2 | 23.8 | 30.1
| | S/N(c) | 14.1 | 22.1 | 28.7
| | SN(E/C) | 0.51
|
|
|
|
|
|
|
| 4290079
| 47
| | Red | Green | Blue
| | z | | 18.81
| | znorm | | 14.63
| | sky | 15.1 | 14.7 | 15.1
| | S/N | 14.3 | 22.5 | 28.3
| | S/N(c) | 12.4 | 21.0 | 26.8
| | SN(E/C) | 0.56
|
|
|
|
|
|
|
| 4290080
| 47
| | Red | Green | Blue
| | z | | 18.76
| | znorm | | 14.58
| | sky | 15.2 | 15.0 | 15.0
| | S/N | 14.0 | 21.7 | 27.3
| | S/N(c) | 12.3 | 20.2 | 25.9
| | SN(E/C) | 0.56
|
|
|
|
|
|
|
| 4290081
| 47
| | Red | Green | Blue
| | z | | 18.81
| | znorm | | 14.63
| | sky | 15.3 | 14.8 | 15.0
| | S/N | 14.4 | 22.5 | 27.7
| | S/N(c) | 12.7 | 21.1 | 26.3
| | SN(E/C) | 0.56
|
|
|
|
|
|
|
| 4290082
| 47
| | Red | Green | Blue
| | z | | 18.81
| | znorm | | 14.63
| | sky | 15.1 | 15.0 | 15.2
| | S/N | 14.6 | 22.8 | 28.1
| | S/N(c) | 12.8 | 21.0 | 26.6
| | SN(E/C) | 0.54
|
|
|
|
|
|
|
| 4290083
| 47
| | Red | Green | Blue
| | z | | 18.75
| | znorm | | 14.57
| | sky | 15.0 | 15.0 | 15.1
| | S/N | 13.7 | 21.9 | 27.0
| | S/N(c) | 12.0 | 20.5 | 25.5
| | SN(E/C) | 0.58
|
|
|
|
|
|
|
| 4290084
| 47
| | Red | Green | Blue
| | z | | 18.82
| | znorm | | 14.64
| | sky | 14.7 | 15.1 | 15.1
| | S/N | 14.7 | 22.8 | 27.9
| | S/N(c) | 12.9 | 21.3 | 26.4
| | SN(E/C) | 0.55
|
|
|
|
|
|
|
| 4290085
| 47
| | Red | Green | Blue
| | z | | 18.79
| | znorm | | 14.61
| | sky | 14.9 | 14.9 | 15.2
| | S/N | 14.3 | 22.5 | 27.5
| | S/N(c) | 12.5 | 20.8 | 25.9
| | SN(E/C) | 0.55
|
|
|
|
|
|
|
| 4290086
| 47
| | Red | Green | Blue
| | z | | 18.75
| | znorm | | 14.57
| | sky | 15.3 | 14.9 | 15.1
| | S/N | 13.8 | 22.0 | 26.6
| | S/N(c) | 12.0 | 20.7 | 25.0
| | SN(E/C) | 0.58
|
|
|
|
|
|
|
| 4290087
| 47
| | Red | Green | Blue
| | z | | 18.67
| | znorm | | 14.49
| | sky | 14.9 | 15.0 | 15.1
| | S/N | 13.6 | 21.1 | 25.9
| | S/N(c) | 11.8 | 19.6 | 24.4
| | SN(E/C) | 0.55
|
|
|
|
|
|
|
| 4290088
| 47
| | Red | Green | Blue
| | z | | 18.69
| | znorm | | 14.51
| | sky | 14.7 | 15.1 | 15.2
| | S/N | 13.1 | 21.4 | 25.6
| | S/N(c) | 11.5 | 20.1 | 24.2
| | SN(E/C) | 0.56
|
|
|
|
|
|
|
| 4290089
| 47
| | Red | Green | Blue
| | z | | 18.80
| | znorm | | 14.62
| | sky | 15.0 | 15.1 | 15.1
| | S/N | 14.2 | 22.7 | 27.0
| | S/N(c) | 12.3 | 21.4 | 25.5
| | SN(E/C) | 0.54
|
|
|
|
|
|
|
| 4290090
| 47
| | Red | Green | Blue
| | z | | 18.79
| | znorm | | 14.61
| | sky | 15.2 | 15.1 | 15.0
| | S/N | 14.1 | 22.5 | 26.7
| | S/N(c) | 12.4 | 21.2 | 25.2
| | SN(E/C) | 0.53
|
|
|
|
|
|
|
| 4290091
| 47
| | Red | Green | Blue
| | z | | 18.70
| | znorm | | 14.52
| | sky | 14.9 | 15.2 | 15.0
| | S/N | 13.2 | 21.2 | 25.8
| | S/N(c) | 11.4 | 19.9 | 24.2
| | SN(E/C) | 0.55
|
|
|
|
|
|
|
| 4290092
| 47
| | Red | Green | Blue
| | z | | 18.71
| | znorm | | 14.53
| | sky | 15.3 | 15.1 | 15.3
| | S/N | 13.6 | 21.6 | 25.7
| | S/N(c) | 11.7 | 20.3 | 24.2
| | SN(E/C) | 0.54
|
|
|
|
|
|
|
| 4290093
| 47
| | Red | Green | Blue
| | z | | 18.81
| | znorm | | 14.63
| | sky | 15.0 | 15.0 | 15.0
| | S/N | 14.0 | 23.0 | 26.2
| | S/N(c) | 12.3 | 21.6 | 24.7
| | SN(E/C) | 0.53
|
|
|
|
|
|
|