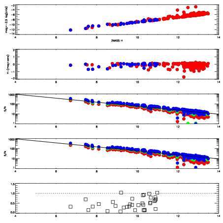
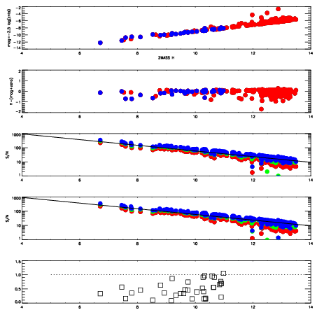
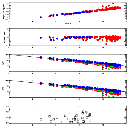
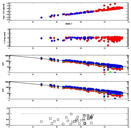
| Frame | Nreads | Zeropoints | Mag plots
| Spatial mag deviation
| Spatial sky 16325A emission deviations (filled: sky, open: star)
| Spatial sky continuum emission
| Spatial sky telluric CO2 absorption deviations (filled: H < 10)
|
| 4600058
| 47
| | Red | Green | Blue
| | z | | 19.00
| | znorm | | 14.82
| | sky | 14.8 | 14.4 | 14.5
| | S/N | 15.4 | 23.1 | 28.7
| | S/N(c) | 13.2 | 21.7 | 27.4
| | SN(E/C) | 0.48
|
|
|
|
|
|
|
| 4600059
| 47
| | Red | Green | Blue
| | z | | 19.03
| | znorm | | 14.85
| | sky | 15.0 | 14.5 | 14.9
| | S/N | 15.6 | 23.6 | 28.9
| | S/N(c) | 13.3 | 21.9 | 27.5
| | SN(E/C) | 0.46
|
|
|
|
|
|
|
| 4600060
| 47
| | Red | Green | Blue
| | z | | 18.98
| | znorm | | 14.80
| | sky | 14.7 | 14.5 | 14.8
| | S/N | 15.1 | 22.9 | 28.2
| | S/N(c) | 13.2 | 21.3 | 26.8
| | SN(E/C) | 0.45
|
|
|
|
|
|
|
| 4600061
| 47
| | Red | Green | Blue
| | z | | 19.01
| | znorm | | 14.83
| | sky | 14.8 | 14.6 | 14.9
| | S/N | 15.4 | 23.2 | 28.3
| | S/N(c) | 13.4 | 21.7 | 26.9
| | SN(E/C) | 0.44
|
|
|
|
|
|
|
| 4600062
| 47
| | Red | Green | Blue
| | z | | 18.51
| | znorm | | 14.33
| | sky | 14.0 | 14.0 | 14.1
| | S/N | 10.2 | 17.0 | 21.7
| | S/N(c) | 8.8 | 15.5 | 20.6
| | SN(E/C) | 0.54
|
|
|
|
|
|
|
| 4600063
| 47
| | Red | Green | Blue
| | z | | 18.79
| | znorm | | 14.61
| | sky | 14.3 | 14.2 | 14.4
| | S/N | 12.9 | 20.8 | 25.2
| | S/N(c) | 11.1 | 19.3 | 24.1
| | SN(E/C) | 0.47
|
|
|
|
|
|
|
| 4600064
| 47
| | Red | Green | Blue
| | z | | 19.01
| | znorm | | 14.83
| | sky | 14.7 | 14.5 | 14.8
| | S/N | 15.0 | 23.1 | 27.8
| | S/N(c) | 13.2 | 21.5 | 26.3
| | SN(E/C) | 0.47
|
|
|
|
|
|
|
| 4600065
| 47
| | Red | Green | Blue
| | z | | 19.14
| | znorm | | 14.95
| | sky | 14.8 | 14.8 | 15.0
| | S/N | 16.1 | 24.4 | 30.2
| | S/N(c) | 13.9 | 22.8 | 28.6
| | SN(E/C) | 0.47
|
|
|
|
|
|
|