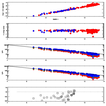
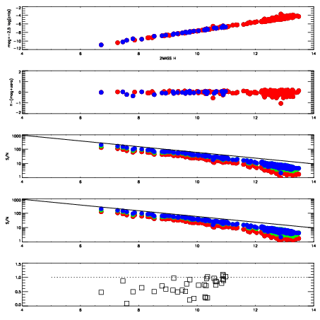
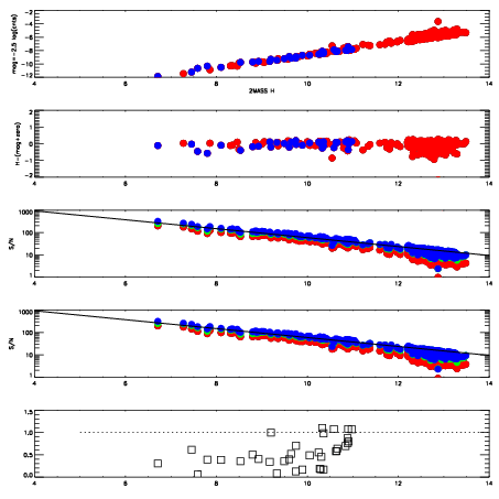
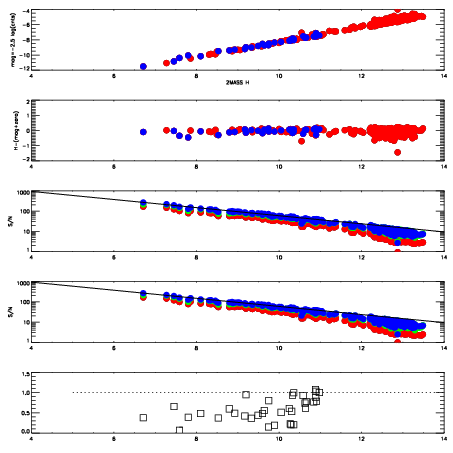
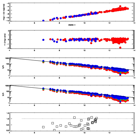
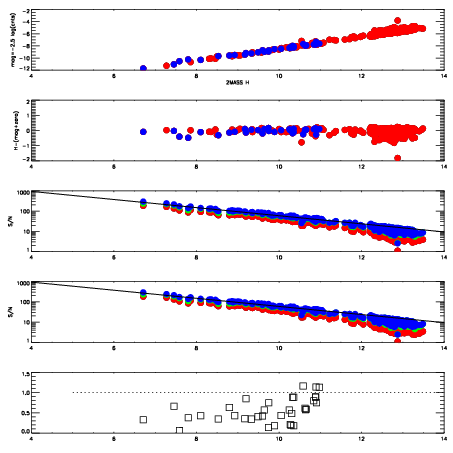
| Frame | Nreads | Zeropoints | Mag plots
| Spatial mag deviation
| Spatial sky 16325A emission deviations (filled: sky, open: star)
| Spatial sky continuum emission
| Spatial sky telluric CO2 absorption deviations (filled: H < 10)
|
| 4630010
| 47
| | Red | Green | Blue
| | z | | 17.76
| | znorm | | 13.58
| | sky | 14.7 | 14.5 | 14.5
| | S/N | 6.8 | 12.0 | 11.8
| | S/N(c) | 5.8 | 10.8 | 11.3
| | SN(E/C) | 0.67
|
|
|
|
|
|
|
| 4630011
| 47
| | Red | Green | Blue
| | z | | 18.05
| | znorm | | 13.87
| | sky | 14.9 | 14.8 | 15.1
| | S/N | 7.8 | 14.1 | 14.0
| | S/N(c) | 6.5 | 12.6 | 13.1
| | SN(E/C) | 0.61
|
|
|
|
|
|
|
| 4630012
| 47
| | Red | Green | Blue
| | z | | 17.63
| | znorm | | 13.45
| | sky | 15.3 | 14.8 | 15.3
| | S/N | 6.0 | 10.9 | 11.1
| | S/N(c) | 5.2 | 9.7 | 10.3
| | SN(E/C) | 0.73
|
|
|
|
|
|
|
| 4630013
| 47
| | Red | Green | Blue
| | z | | 18.03
| | znorm | | 13.85
| | sky | 15.1 | 15.2 | 15.5
| | S/N | 7.5 | 13.9 | 13.6
| | S/N(c) | 6.5 | 12.4 | 12.8
| | SN(E/C) | 0.57
|
|
|
|
|
|
|
| 4630014
| 47
| | Red | Green | Blue
| | z | | 18.52
| | znorm | | 14.34
| | sky | 15.4 | 14.9 | 15.2
| | S/N | 11.0 | 18.3 | 18.3
| | S/N(c) | 9.5 | 16.7 | 17.4
| | SN(E/C) | 0.56
|
|
|
|
|
|
|
| 4630015
| 47
| | Red | Green | Blue
| | z | | 18.57
| | znorm | | 14.39
| | sky | 15.0 | 15.1 | 15.3
| | S/N | 11.0 | 18.7 | 19.0
| | S/N(c) | 9.7 | 17.1 | 18.0
| | SN(E/C) | 0.54
|
|
|
|
|
|
|
| 4630016
| 47
| | Red | Green | Blue
| | z | | 18.69
| | znorm | | 14.51
| | sky | 15.3 | 14.9 | 15.4
| | S/N | 12.0 | 20.0 | 20.3
| | S/N(c) | 10.6 | 18.4 | 19.2
| | SN(E/C) | 0.50
|
|
|
|
|
|
|
| 4630017
| 47
| | Red | Green | Blue
| | z | | 18.51
| | znorm | | 14.33
| | sky | 15.2 | 15.2 | 15.3
| | S/N | 10.7 | 18.0 | 18.5
| | S/N(c) | 9.2 | 16.5 | 17.4
| | SN(E/C) | 0.57
|
|
|
|
|
|
|
| 4630018
| 47
| | Red | Green | Blue
| | z | | 18.31
| | znorm | | 14.13
| | sky | 15.5 | 15.3 | 15.3
| | S/N | 8.8 | 15.9 | 16.2
| | S/N(c) | 7.5 | 14.4 | 15.2
| | SN(E/C) | 0.56
|
|
|
|
|
|
|
| 4630019
| 47
| | Red | Green | Blue
| | z | | 18.26
| | znorm | | 14.08
| | sky | 15.2 | 15.1 | 15.4
| | S/N | 8.6 | 15.5 | 15.8
| | S/N(c) | 7.5 | 14.1 | 14.8
| | SN(E/C) | 0.63
|
|
|
|
|
|
|