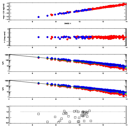
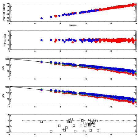
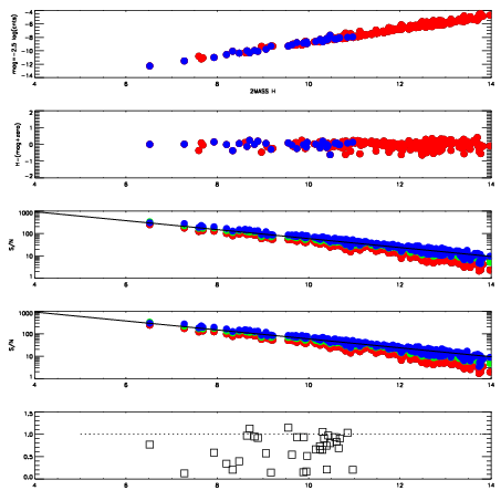
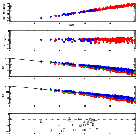
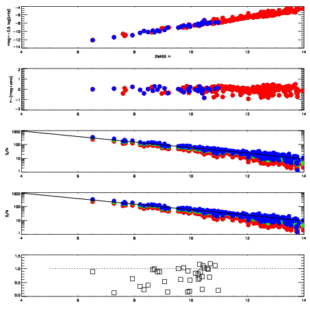
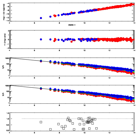
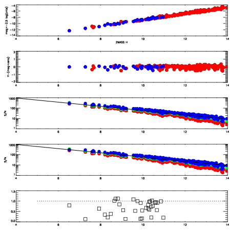
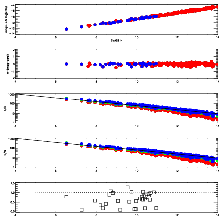
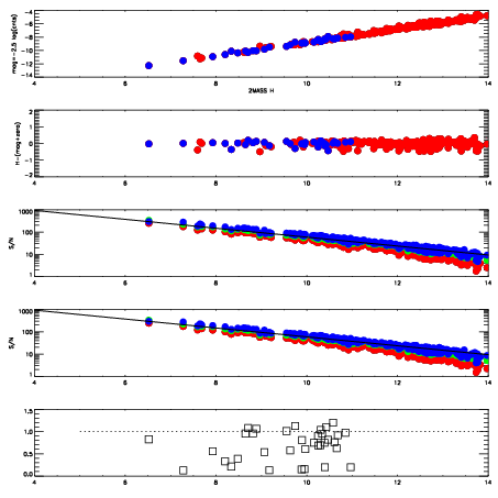
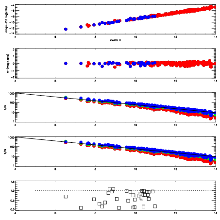
| Frame | Nreads | Zeropoints | Mag plots
| Spatial mag deviation
| Spatial sky 16325A emission deviations (filled: sky, open: star)
| Spatial sky continuum emission
| Spatial sky telluric CO2 absorption deviations (filled: H < 10)
|
| 7850092
| 47
| | Red | Green | Blue
| | z | | 18.61
| | znorm | | 14.43
| | sky | 15.2 | 14.8 | 14.8
| | S/N | 11.4 | 18.6 | 23.4
| | S/N(c) | 9.8 | 16.5 | 21.9
| | SN(E/C) | 0.81
|
|
|
|
|
|
|
| 7850093
| 47
| | Red | Green | Blue
| | z | | 18.64
| | znorm | | 14.46
| | sky | 15.1 | 14.8 | 15.2
| | S/N | 11.7 | 19.3 | 23.1
| | S/N(c) | 10.0 | 17.5 | 21.6
| | SN(E/C) | 0.73
|
|
|
|
|
|
|
| 7850094
| 47
| | Red | Green | Blue
| | z | | 18.74
| | znorm | | 14.56
| | sky | 15.5 | 14.8 | 15.2
| | S/N | 12.3 | 20.8 | 24.8
| | S/N(c) | 10.5 | 18.5 | 23.2
| | SN(E/C) | 0.74
|
|
|
|
|
|
|
| 7850095
| 47
| | Red | Green | Blue
| | z | | 18.78
| | znorm | | 14.60
| | sky | 15.9 | 14.9 | 15.3
| | S/N | 13.1 | 20.6 | 25.1
| | S/N(c) | 11.3 | 18.5 | 23.4
| | SN(E/C) | 0.73
|
|
|
|
|
|
|
| 7850096
| 47
| | Red | Green | Blue
| | z | | 18.84
| | znorm | | 14.66
| | sky | 15.2 | 14.9 | 15.3
| | S/N | 13.4 | 21.3 | 26.1
| | S/N(c) | 11.7 | 19.5 | 24.4
| | SN(E/C) | 0.70
|
|
|
|
|
|
|
| 7850097
| 47
| | Red | Green | Blue
| | z | | 18.83
| | znorm | | 14.65
| | sky | 15.1 | 15.1 | 15.3
| | S/N | 13.3 | 21.5 | 26.1
| | S/N(c) | 11.7 | 19.8 | 24.4
| | SN(E/C) | 0.72
|
|
|
|
|
|
|
| 7850098
| 47
| | Red | Green | Blue
| | z | | 18.81
| | znorm | | 14.63
| | sky | 15.5 | 15.0 | 15.2
| | S/N | 13.3 | 21.0 | 25.6
| | S/N(c) | 11.5 | 19.3 | 24.0
| | SN(E/C) | 0.75
|
|
|
|
|
|
|
| 7850099
| 47
| | Red | Green | Blue
| | z | | 18.82
| | znorm | | 14.64
| | sky | 15.4 | 14.9 | 15.3
| | S/N | 13.4 | 21.2 | 25.7
| | S/N(c) | 11.6 | 19.6 | 24.0
| | SN(E/C) | 0.71
|
|
|
|
|
|
|
| 7850100
| 47
| | Red | Green | Blue
| | z | | 18.80
| | znorm | | 14.62
| | sky | 15.6 | 15.2 | 15.2
| | S/N | 13.1 | 20.9 | 25.4
| | S/N(c) | 11.5 | 19.2 | 23.7
| | SN(E/C) | 0.69
|
|
|
|
|
|
|
| 7850101
| 47
| | Red | Green | Blue
| | z | | 18.84
| | znorm | | 14.66
| | sky | 15.4 | 15.2 | 15.3
| | S/N | 13.6 | 21.7 | 25.8
| | S/N(c) | 11.9 | 19.7 | 24.3
| | SN(E/C) | 0.75
|
|
|
|
|
|
|
| 7850102
| 47
| | Red | Green | Blue
| | z | | 18.77
| | znorm | | 14.59
| | sky | 15.1 | 15.0 | 15.4
| | S/N | 12.9 | 20.8 | 25.0
| | S/N(c) | 11.3 | 19.3 | 23.6
| | SN(E/C) | 0.73
|
|
|
|
|
|
|
| 7850103
| 47
| | Red | Green | Blue
| | z | | 18.80
| | znorm | | 14.62
| | sky | 15.4 | 15.2 | 15.4
| | S/N | 13.2 | 20.9 | 25.6
| | S/N(c) | 11.6 | 19.2 | 23.8
| | SN(E/C) | 0.69
|
|
|
|
|
|
|